Официальное опубликование правовых актов
ОФИЦИАЛЬНОЕ ОПУБЛИКОВАНИЕ
Приказ Министерства строительства и жилищно-коммунального хозяйства Алтайского края от 20.02.2025 № 117
"О внесении изменений в приказ Министерства строительства и жилищно-коммунального хозяйства Алтайского края от 18.04.2024 № 253"
(Зарегистрирован 21.02.2025 № 196)
Номер опубликования: 2201202502210002
Дата опубликования: 21.02.2025
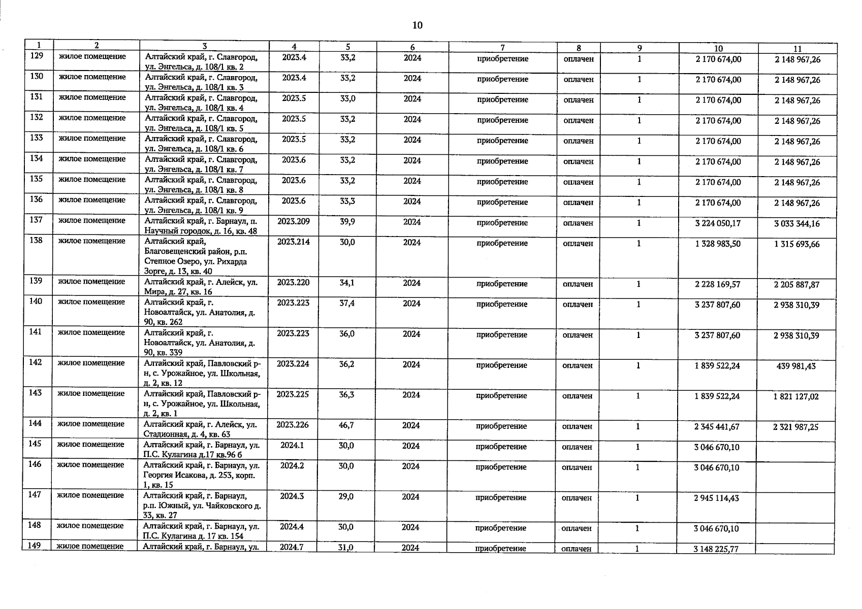
Страница №10 из 17:
Увеличить