Официальное опубликование правовых актов
ОФИЦИАЛЬНОЕ ОПУБЛИКОВАНИЕ
Приказ Министерства природных ресурсов и экологии Алтайского края от 13.02.2025 № 128
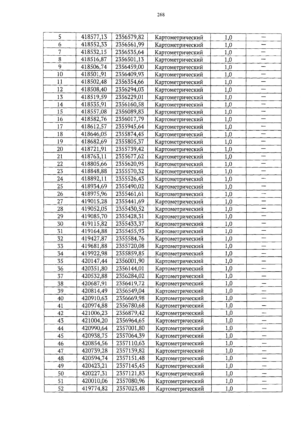
"Об установлении зон санитарной охраны подземных источников питьевого и хозяйственно-бытового водоснабжения населения села Акимовка, поселка Алешиха, села Березовка, села Верх-Камышенка, поселка Ермачиха, поселка Засурье, поселка Золотушка, села Карпово Второе, села Карпово Первое, села Куйбышево, села Маралиха, села Новошипуново, села Суетка, села Усть-Белое, села Усть-Козлуха, села Усть-Чагырка, села Харлово, села Чинета Краснощековского района Алтайского края"
(Зарегистрирован 14.02.2025 № 157)
Номер опубликования: 2201202502140006
Дата опубликования: 14.02.2025
Страница №268 из 342:
Увеличить