Официальное опубликование правовых актов
ОФИЦИАЛЬНОЕ ОПУБЛИКОВАНИЕ
Приказ Управления печати и массовых коммуникаций Алтайского края от 27.12.2024 № 121
"О внесении изменений в приказ управления печати и массовых коммуникаций Алтайского края от 28.12.2023 № 105"
(Зарегистрирован 28.12.2024 № 2347)
Номер опубликования: 2201202412280001
Дата опубликования: 28.12.2024
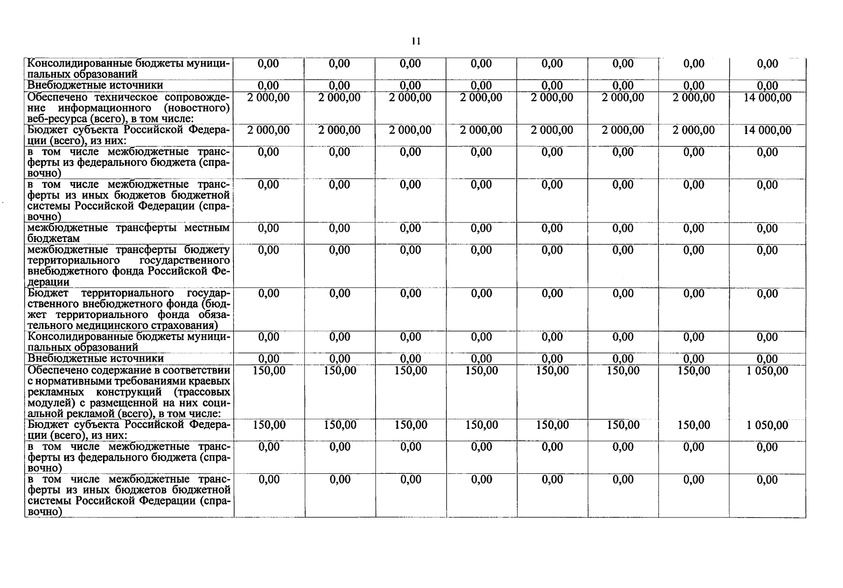
Страница №11 из 20:
Увеличить