Официальное опубликование правовых актов
ОФИЦИАЛЬНОЕ ОПУБЛИКОВАНИЕ
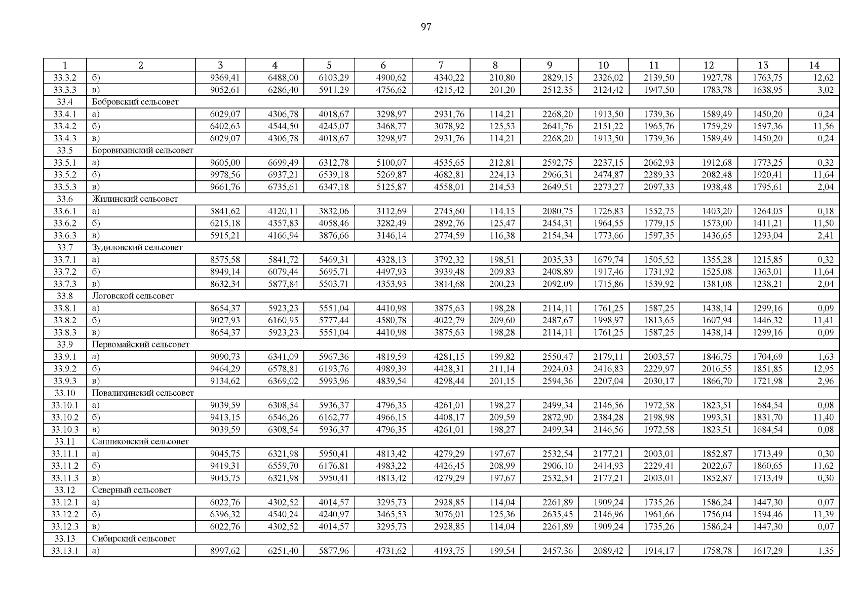
Решение Управления Алтайского края по государственному регулированию цен и тарифов от 25.12.2024 № 557
"Об установлении размеров краевых стандартов стоимости жилищно-коммунальных услуг на территории Алтайского края на 2025 год"
(Зарегистрирован 26.12.2024 № 2298)
Номер опубликования: 2201202412260001
Дата опубликования: 26.12.2024
Страница №97 из 160:
Увеличить