Официальное опубликование правовых актов
ОФИЦИАЛЬНОЕ ОПУБЛИКОВАНИЕ
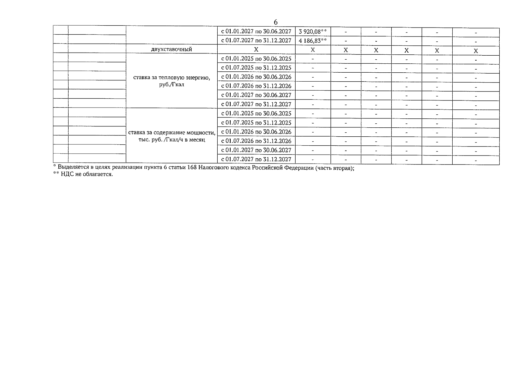
Решение Управления Алтайского края по государственному регулированию цен и тарифов от 11.12.2024 № 451
"Об установлении тарифов на тепловую энергию, поставляемую муниципальным унитарным предприятием "Тепловик" Родинского района Алтайского края потребителям Родинского района Алтайского края, на 2025-2027 годы"
(Зарегистрирован 13.12.2024 № 1995)
Номер опубликования: 2201202412130036
Дата опубликования: 13.12.2024
Страница №6 из 6:
Увеличить