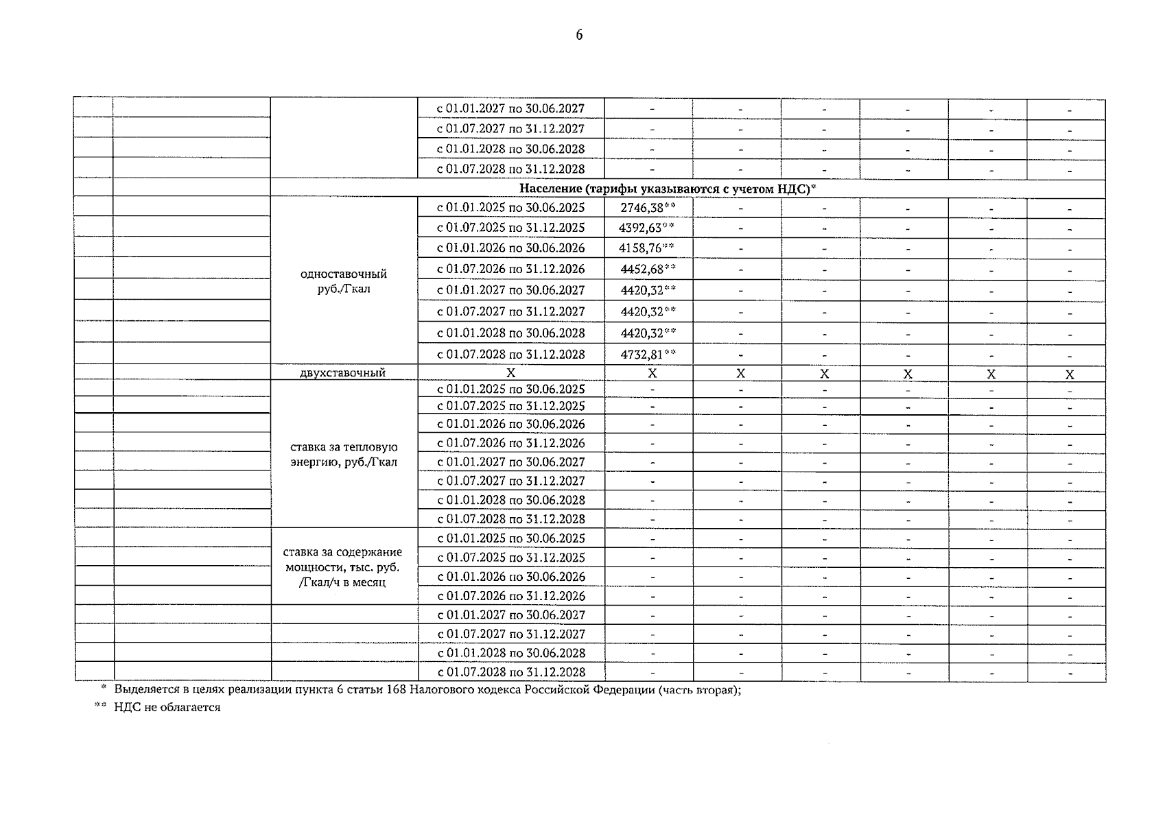
Решение Управления Алтайского края по государственному регулированию цен и тарифов от 11.12.2024 № 411
"О корректировке тарифов на тепловую энергию, поставляемую муниципальным унитарным предприятием основанным на праве хозяйственного ведения "Павловские коммунальные системы" потребителям Павловского района Алтайского края, на 2025 год"
(Зарегистрирован 12.12.2024 № 1953)
"О корректировке тарифов на тепловую энергию, поставляемую муниципальным унитарным предприятием основанным на праве хозяйственного ведения "Павловские коммунальные системы" потребителям Павловского района Алтайского края, на 2025 год"
(Зарегистрирован 12.12.2024 № 1953)
Номер опубликования: 2201202412120050
Дата опубликования:
12.12.2024
