Официальное опубликование правовых актов
ОФИЦИАЛЬНОЕ ОПУБЛИКОВАНИЕ
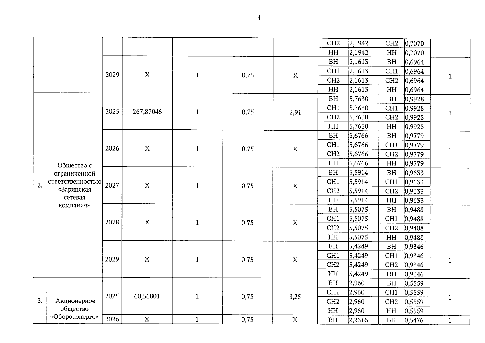
Решение Управления Алтайского края по государственному регулированию цен и тарифов от 10.12.2024 № 374
"Об установлении долгосрочных параметров регулирования деятельности и необходимой валовой выручки территориальных сетевых организаций на территории Алтайского края на 2025-2029 годы"
(Зарегистрирован 11.12.2024 № 1896)
Номер опубликования: 2201202412110007
Дата опубликования: 11.12.2024
Страница №4 из 8:
Увеличить