Официальное опубликование правовых актов
ОФИЦИАЛЬНОЕ ОПУБЛИКОВАНИЕ
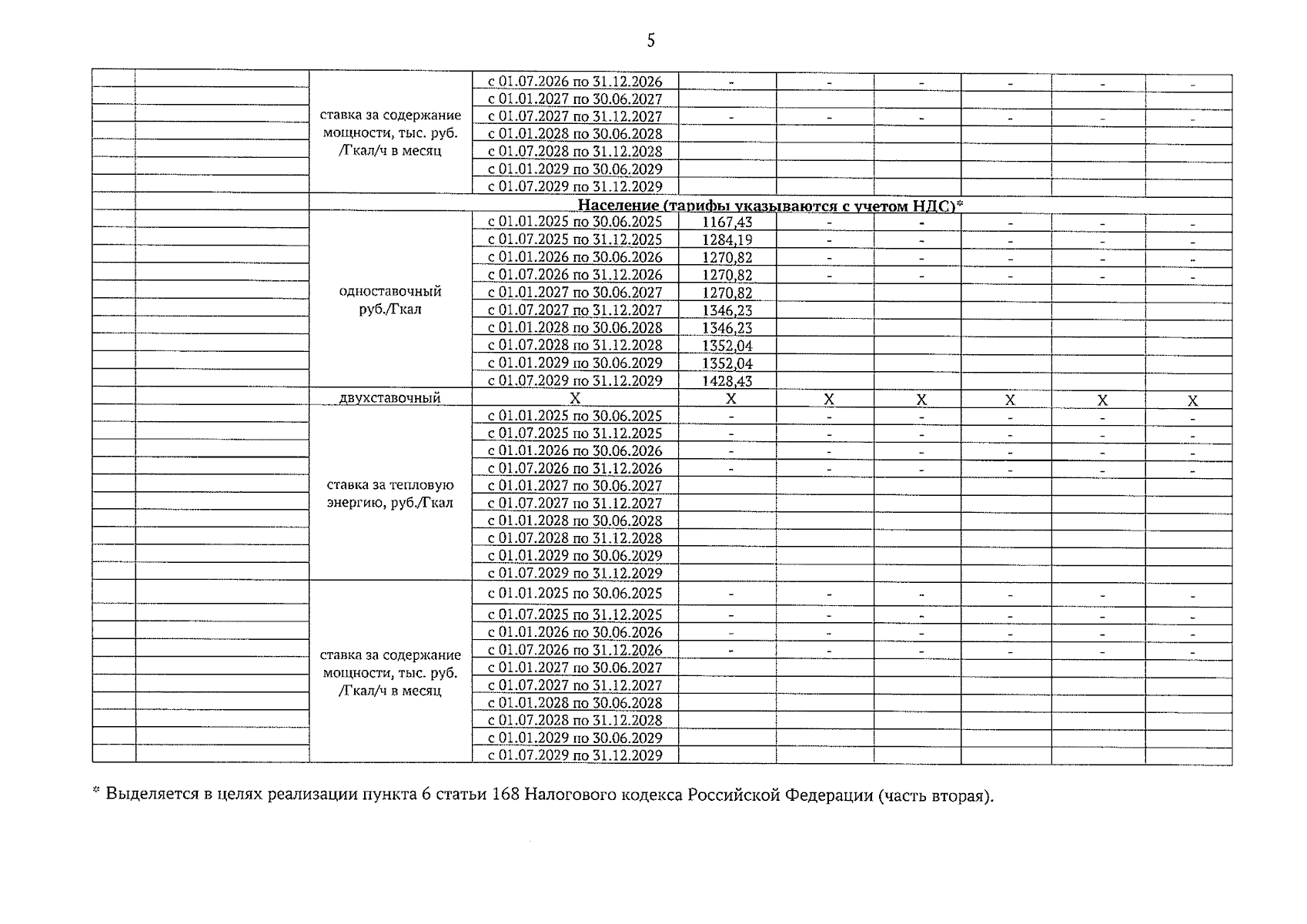
Решение Управления Алтайского края по государственному регулированию цен и тарифов от 04.12.2024 № 366
"Об установлении тарифов на тепловую энергию, поставляемую сельскохозяйственным производственным кооперативом "Колхоз Путь к коммунизму" потребителям Завьяловского района Алтайского края, на 2025–2029 годы"
(Зарегистрирован 09.12.2024 № 1841)
Номер опубликования: 2201202412090032
Дата опубликования: 09.12.2024
Страница №5 из 5:
Увеличить