Решение Управления Алтайского края по государственному регулированию цен и тарифов от 04.12.2024 № 352
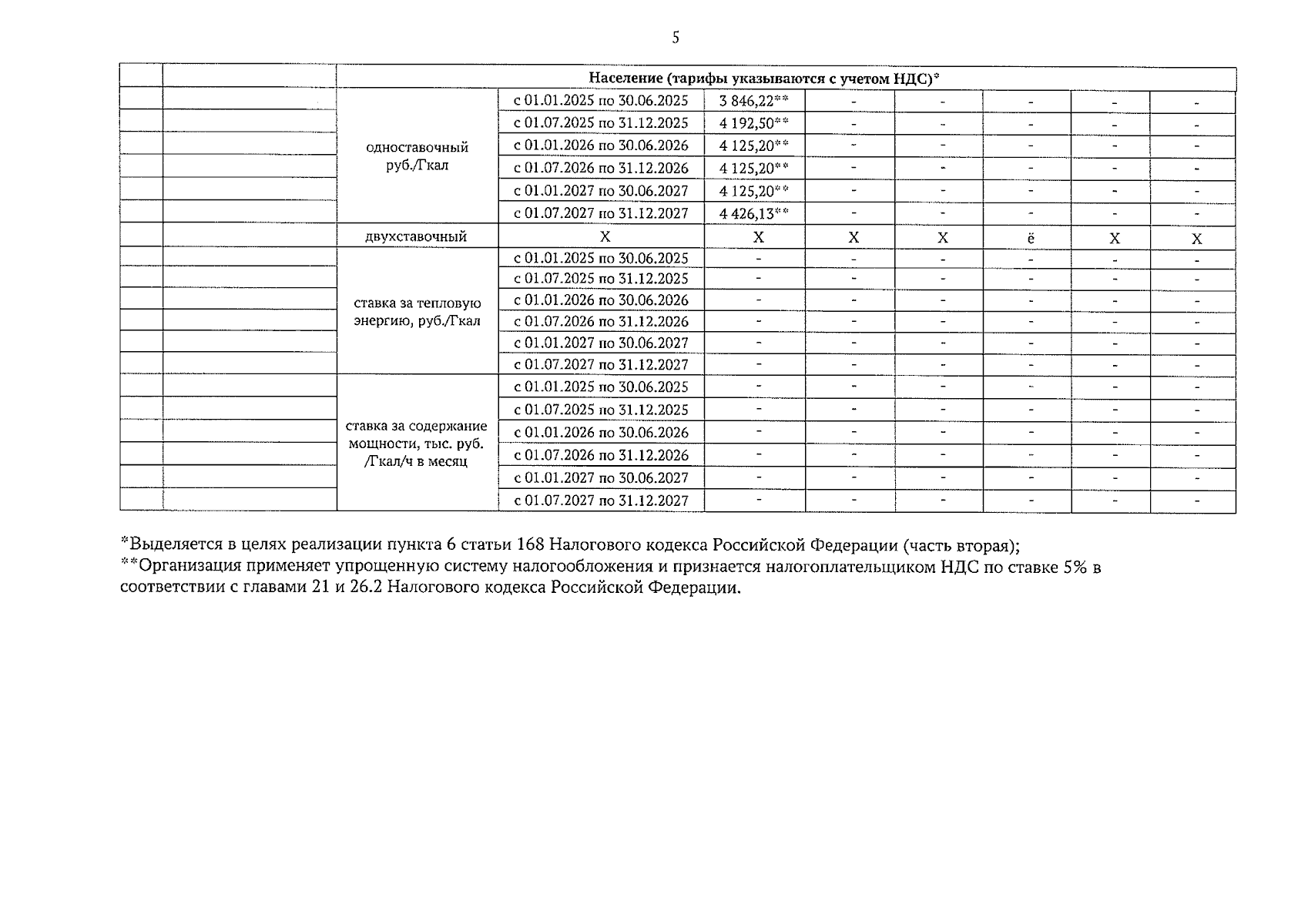
"Об установлении тарифов на тепловую энергию, поставляемую Муниципальным унитарным предприятием "Городское" города Алейска потребителям городского округа город Алейск Алтайского края, на 2025-2027 годы"
(Зарегистрирован 06.12.2024 № 1827)
"Об установлении тарифов на тепловую энергию, поставляемую Муниципальным унитарным предприятием "Городское" города Алейска потребителям городского округа город Алейск Алтайского края, на 2025-2027 годы"
(Зарегистрирован 06.12.2024 № 1827)
Номер опубликования: 2201202412090010
Дата опубликования:
09.12.2024
