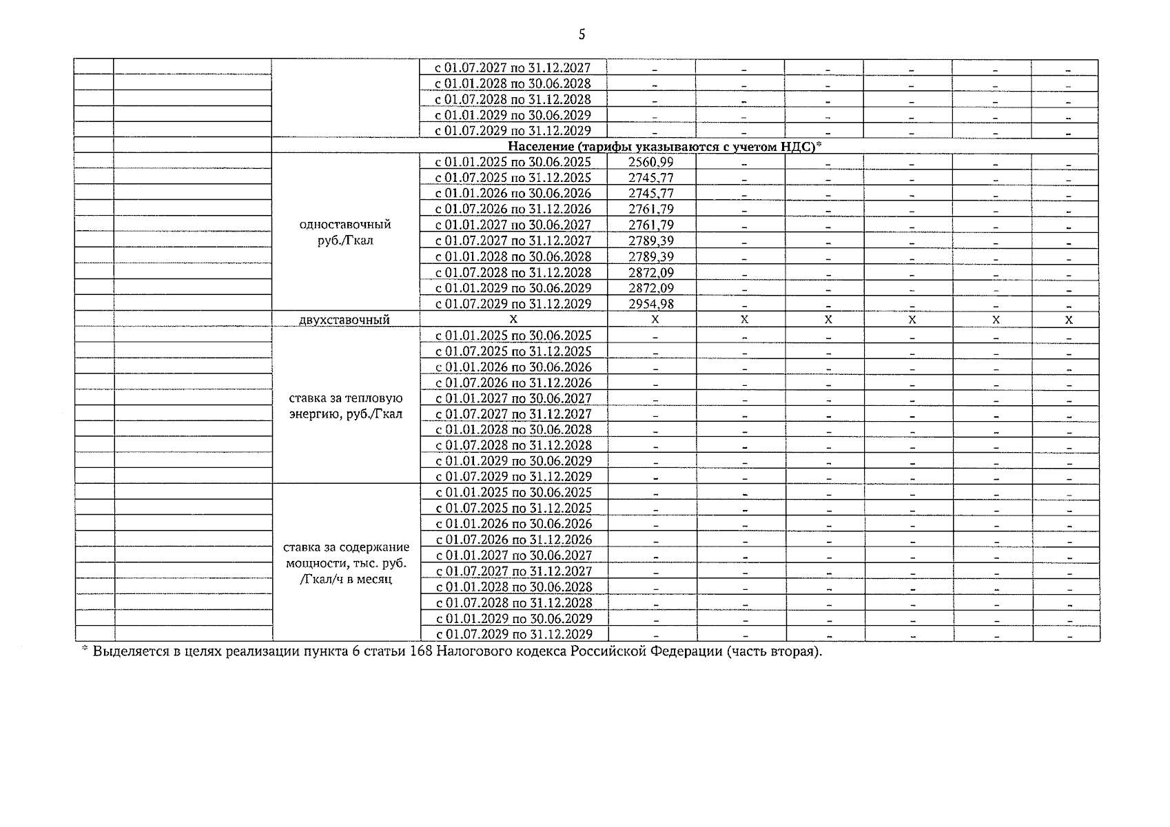
Решение Управления Алтайского края по государственному регулированию цен и тарифов от 04.12.2024 № 353
"Об установлении тарифов на тепловую энергию, поставляемую сельскохозяйственным производственным кооперативом колхоз "Плосковский" потребителям Третьяковского района Алтайского края, на 2025-2029 годы"
(Зарегистрирован 06.12.2024 № 1828)
"Об установлении тарифов на тепловую энергию, поставляемую сельскохозяйственным производственным кооперативом колхоз "Плосковский" потребителям Третьяковского района Алтайского края, на 2025-2029 годы"
(Зарегистрирован 06.12.2024 № 1828)
Номер опубликования: 2201202412090009
Дата опубликования:
09.12.2024
