Официальное опубликование правовых актов
ОФИЦИАЛЬНОЕ ОПУБЛИКОВАНИЕ
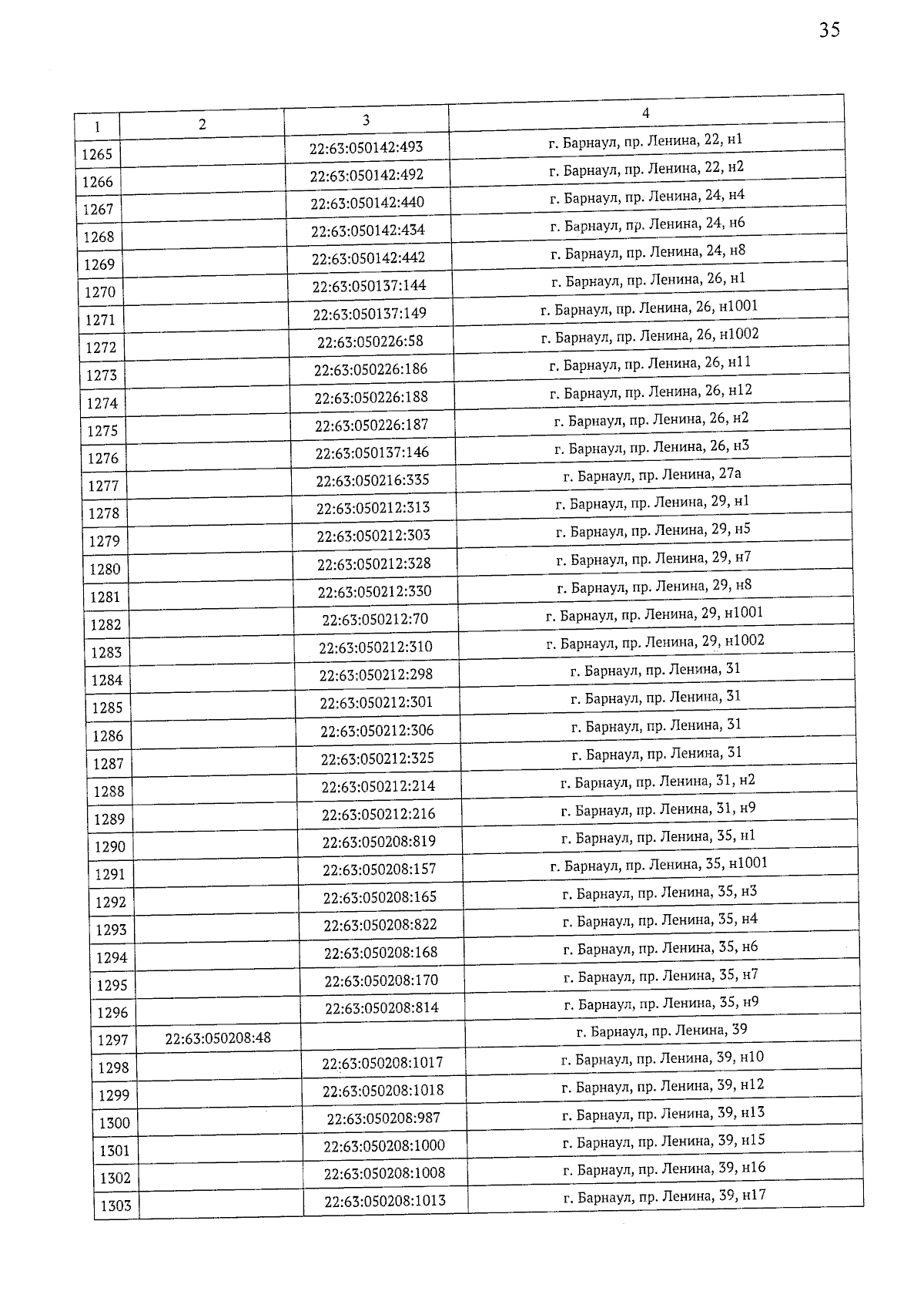
Приказ управления Алтайского края по развитию предпринимательства и рыночной инфраструктуры от 25.11.2024 № 43/Пр/145
"Об утверждении перечня объектов недвижимого имущества, указанных в подпунктах 1 и 2 пункта 1 статьи 378.2 Налогового кодекса Российской Федерации, в отношении которых на налоговый период 2025 года налоговая база определяется как кадастровая стоимость"
(Зарегистрирован 26.11.2024 № 1676)
Номер опубликования: 2201202411260008
Дата опубликования: 26.11.2024
Страница №35 из 285:
Увеличить