Официальное опубликование правовых актов
ОФИЦИАЛЬНОЕ ОПУБЛИКОВАНИЕ
Приказ Управления государственной охраны объектов культурного наследия Алтайского края от 26.09.2024 № 595
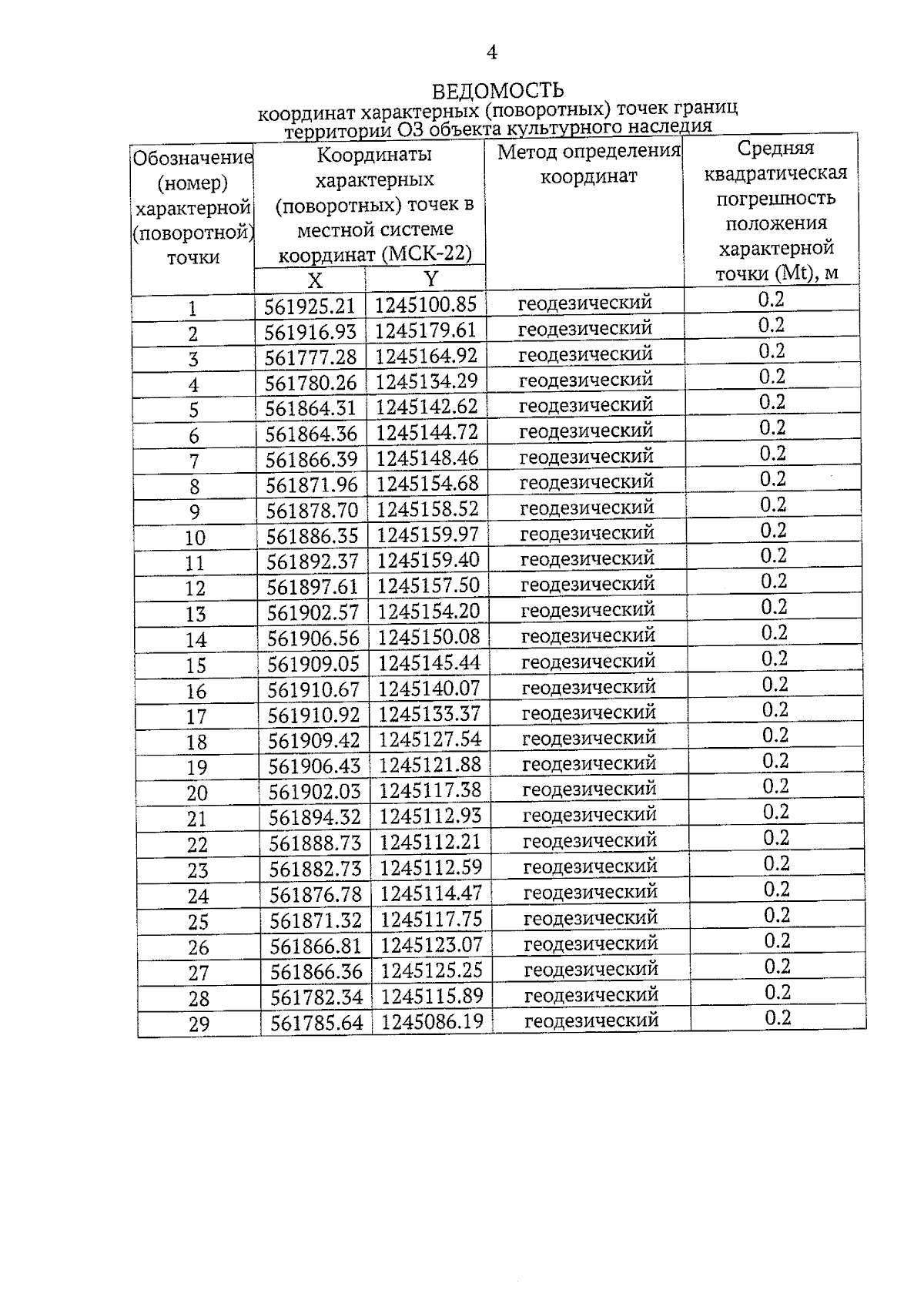
"Об установлении зоны охраны объекта культурного наследия регионального значения "Мемориал Славы в честь воинов–славгородцев, погибших в годы Великой Отечественной войны (1941–1945 гг.)", 1977 г., расположенного по адресу: Алтайский край, г. Славгород, ул. Ленина, 167/2, утверждении режима использования земель и требований к градостроительным регламентам в границах территории данной зоны"
(Зарегистрирован 26.09.2024 № 1135)
Номер опубликования: 2201202409260009
Дата опубликования: 26.09.2024
Страница №4 из 7:
Увеличить