Официальное опубликование правовых актов
ОФИЦИАЛЬНОЕ ОПУБЛИКОВАНИЕ
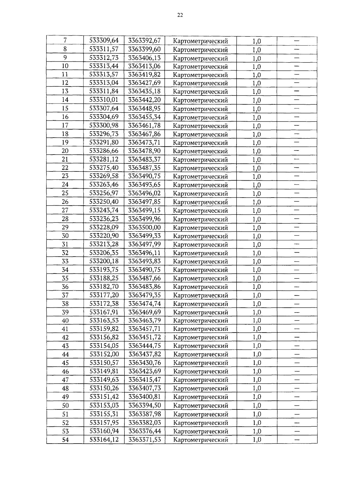
Приказ Министерства природных ресурсов и экологии Алтайского края от 02.09.2024 № 1006
"Об установлении зон санитарной охраны подземных источников питьевого и хозяйственно-бытового водоснабжения населения села Нижняя Ненинка Солтонского района Алтайского края"
(Зарегистрирован 03.09.2024 № 966)
Номер опубликования: 2201202409030009
Дата опубликования: 03.09.2024
Страница №22 из 24: