Официальное опубликование правовых актов
ОФИЦИАЛЬНОЕ ОПУБЛИКОВАНИЕ
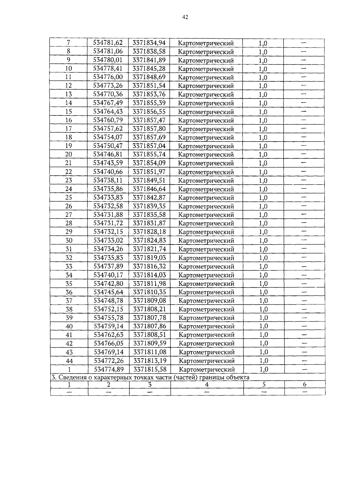
Приказ Министерства природных ресурсов и экологии Алтайского края от 02.09.2024 № 1003
"Об установлении зон санитарной охраны подземных источников питьевого и хозяйственно-бытового водоснабжения населения села Сузоп и поселка Тосток Солтонского района Алтайского края"
(Зарегистрирован 02.09.2024 № 952)
Номер опубликования: 2201202409020015
Дата опубликования: 02.09.2024
Страница №42 из 44:
Увеличить