Официальное опубликование правовых актов
ОФИЦИАЛЬНОЕ ОПУБЛИКОВАНИЕ
Приказ Министерства здравоохранения Алтайского края от 10.06.2024 № 266
"О внесении изменения в приказ Министерства здравоохранения Алтайского края от 26.12.2023 № 600"
(Зарегистрирован 11.06.2024 № 596)
Номер опубликования: 2201202406110003
Дата опубликования: 11.06.2024
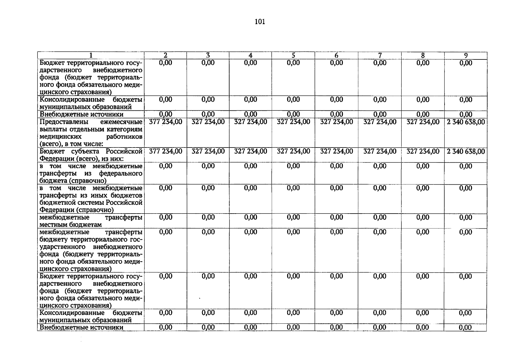
Страница №101 из 158:
Увеличить