Официальное опубликование правовых актов
ОФИЦИАЛЬНОЕ ОПУБЛИКОВАНИЕ
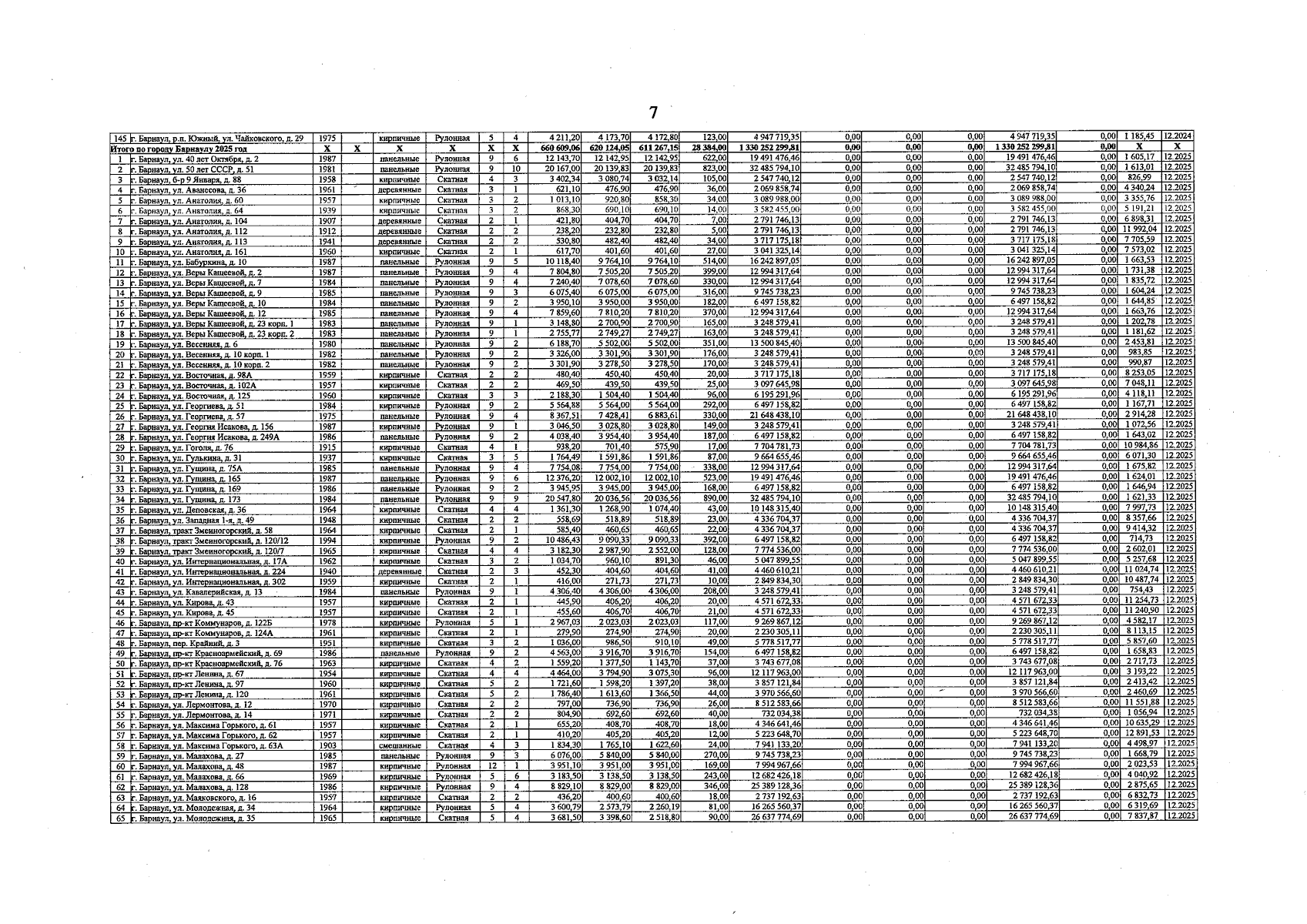
Приказ Министерства строительства и жилищно-коммунального хозяйства Алтайского края от 13.05.2024 № 318
"О внесении изменений в приказ Министерства строительства и жилищно-коммунального хозяйства Алтайского края от 23.08.2022 № 621"
(Зарегистрирован 13.05.2024 № 448)
Номер опубликования: 2201202405130004
Дата опубликования: 13.05.2024
Страница №7 из 58:
Увеличить