Официальное опубликование правовых актов
ОФИЦИАЛЬНОЕ ОПУБЛИКОВАНИЕ
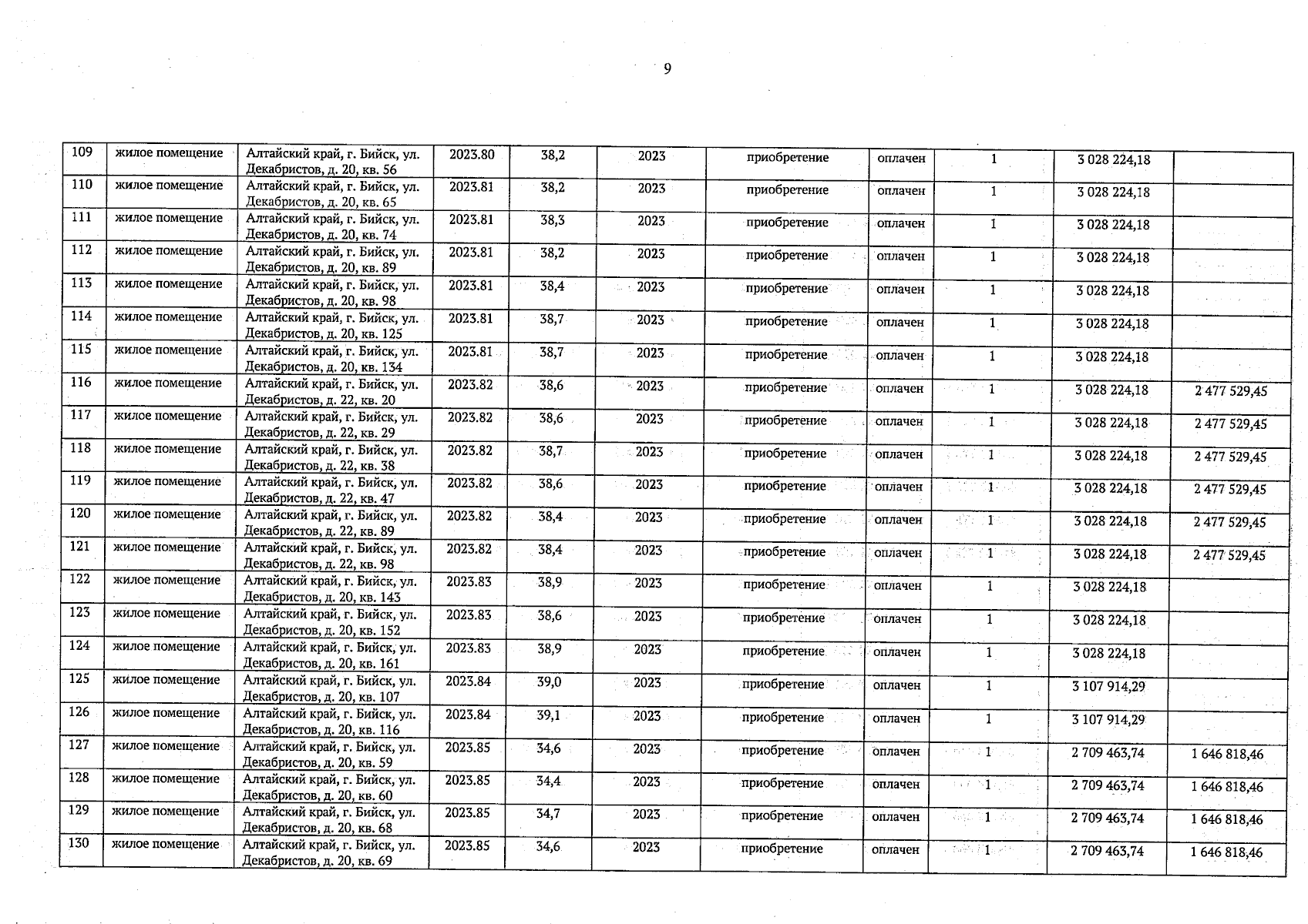
Приказ Министерства строительства и жилищно-коммунального хозяйства Алтайского края от 18.04.2024 № 253
"Об утверждении перечня объектов капитального строительства и (или) объектов недвижимого имущества, в целях софинансирования которых предоставляется субсидия из федерального бюджета на обеспечение детей-сирот и детей, оставшихся без попечения родителей, лиц из числа детей-сирот и детей, оставшихся без попечения родителей, жилыми помещениями"
(Зарегистрирован 19.04.2024 № 376)
Номер опубликования: 2201202404190017
Дата опубликования: 19.04.2024
Страница №9 из 17:
Увеличить