Официальное опубликование правовых актов
ОФИЦИАЛЬНОЕ ОПУБЛИКОВАНИЕ
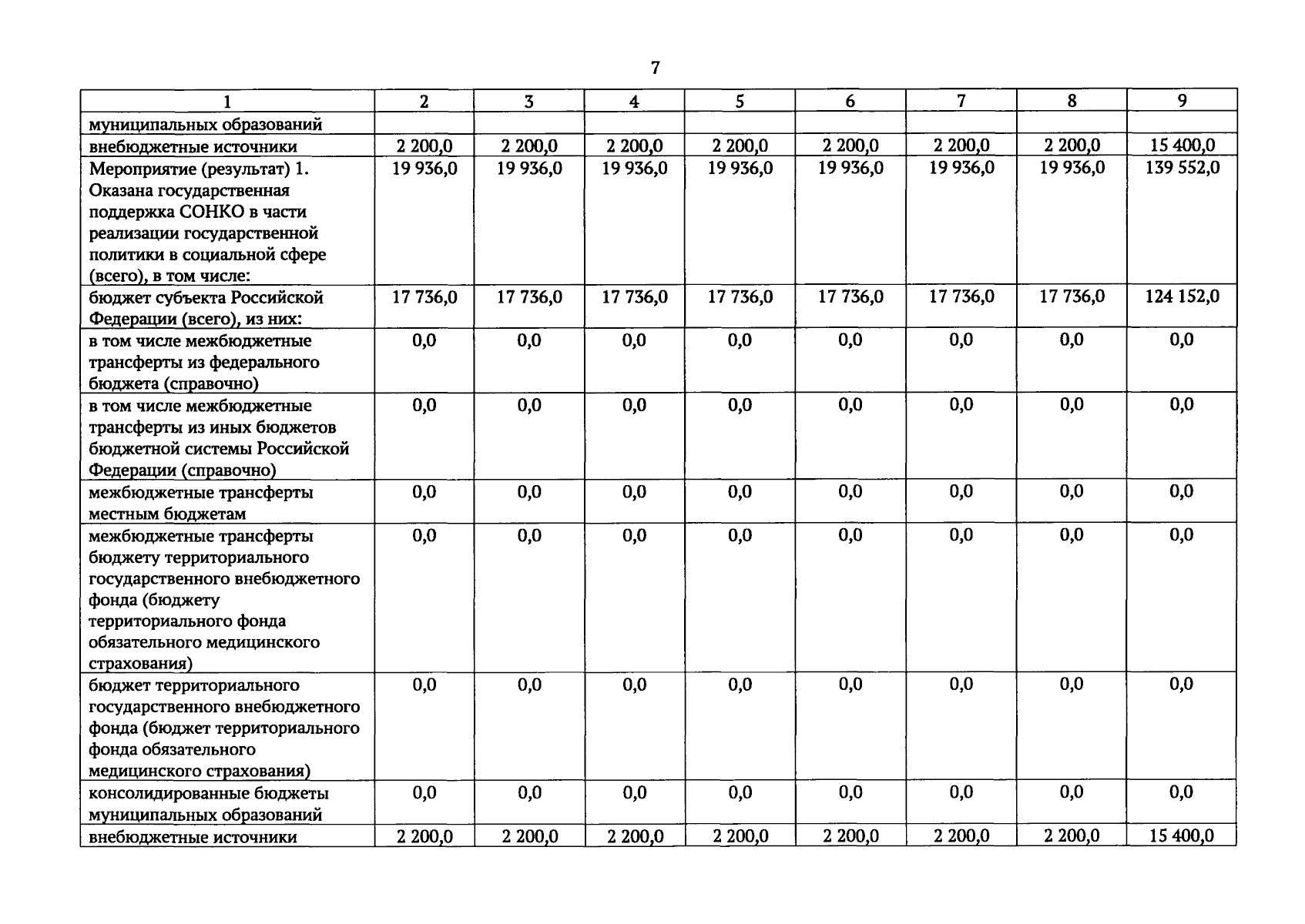
Приказ Администрации Губернатора и Правительства Алтайского края от 29.12.2023 № 67-а
"Об утверждении паспорта комплекса процессных мероприятий "Поддержка социально ориентированных некоммерческих организаций"
(Зарегистрирован 29.12.2023 № 2404)
Номер опубликования: 2201202312290028
Дата опубликования: 29.12.2023
Страница №7 из 14:
Увеличить