Официальное опубликование правовых актов
ОФИЦИАЛЬНОЕ ОПУБЛИКОВАНИЕ
Приказ Министерства строительства и жилищно-коммунального хозяйства Алтайского края от 29.12.2023 № 918
"О внесении изменений в приказ Министерства строительства и жилищно-коммунального хозяйства Алтайского края от 23.08.2022 № 621"
(Зарегистрирован 29.12.2023 № 2401)
Номер опубликования: 2201202312290026
Дата опубликования: 29.12.2023
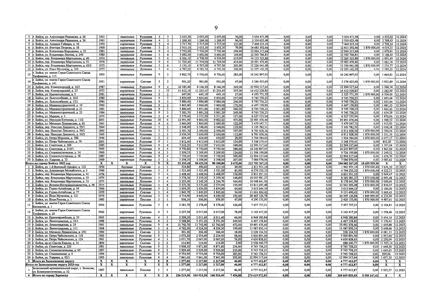
Страница №9 из 48:
Увеличить