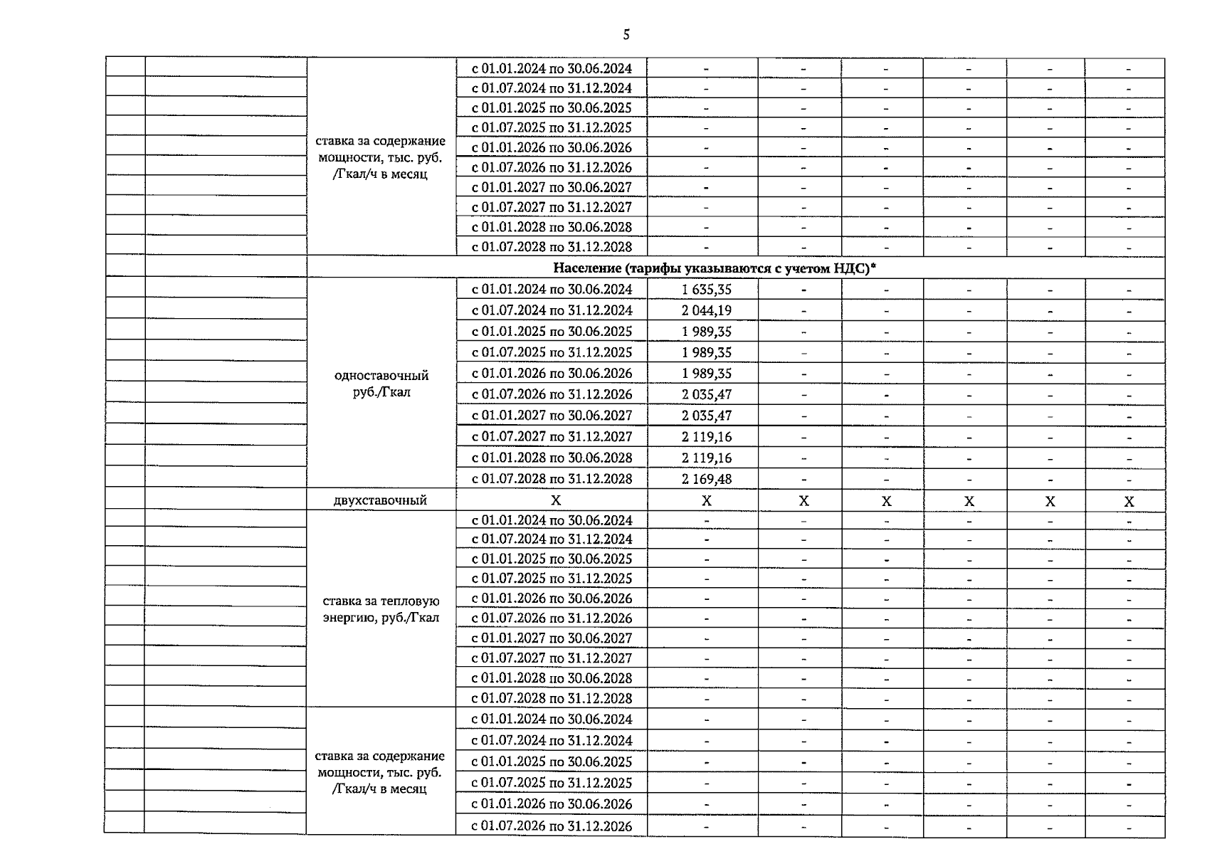
Решение Управления Алтайского края по государственному регулированию цен и тарифов от 20.12.2023 № 543
"Об установлении тарифов на тепловую энергию, поставляемую потребительским обществом "Алейторг" потребителям муниципального образования город Алейск Алтайского края, на 2024–2028 годы"
(Зарегистрирован 22.12.2023 № 2346)
"Об установлении тарифов на тепловую энергию, поставляемую потребительским обществом "Алейторг" потребителям муниципального образования город Алейск Алтайского края, на 2024–2028 годы"
(Зарегистрирован 22.12.2023 № 2346)
Номер опубликования: 2201202312260017
Дата опубликования:
26.12.2023
