Официальное опубликование правовых актов
ОФИЦИАЛЬНОЕ ОПУБЛИКОВАНИЕ
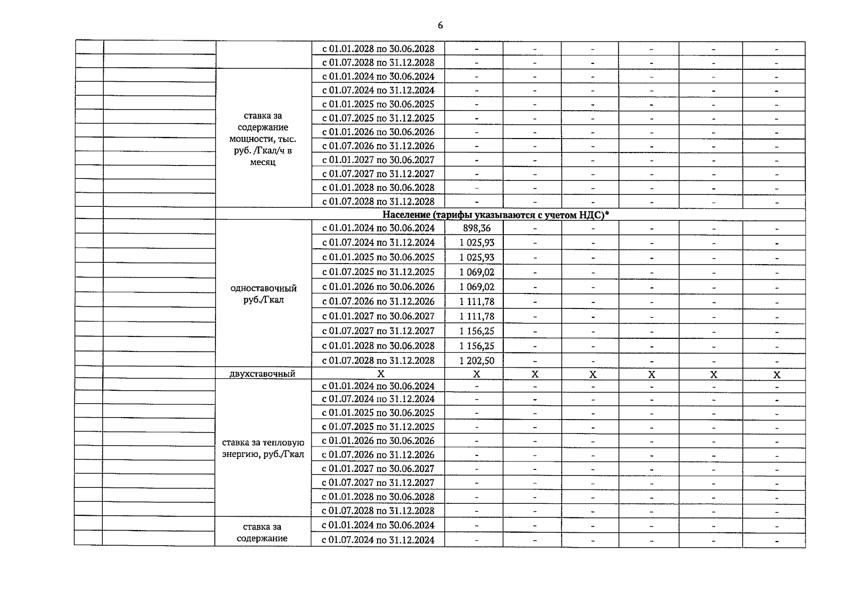
Решение Управления Алтайского края по государственному регулированию цен и тарифов от 20.12.2023 № 545
"Об установлении тарифов на тепловую энергию, поставляемую государственным унитарным предприятием дорожного хозяйства Алтайского края "Южное дорожно-строительное управление" потребителям города Алейска, Шипуновского района Алтайского края, на 2024–2028 годы"
(Зарегистрирован 22.12.2023 № 2282)
Номер опубликования: 2201202312220013
Дата опубликования: 22.12.2023
Страница №6 из 10:
Увеличить