Решение Управления Алтайского края по государственному регулированию цен и тарифов от 18.12.2023 № 463
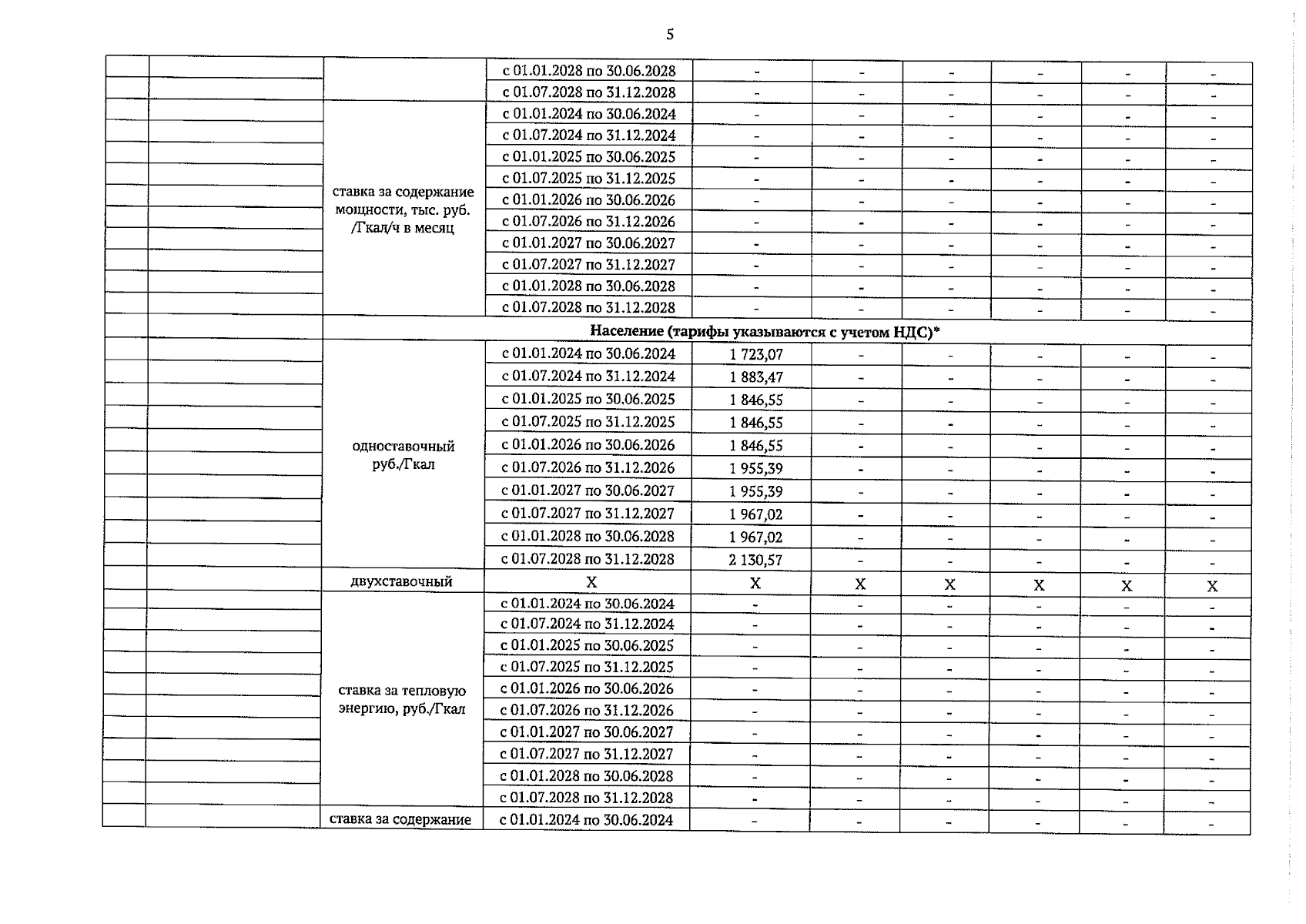
"Об установлении тарифов на тепловую энергию, поставляемую акционерным обществом "Кучуксульфат" потребителям Благовещенского района Алтайского края, на 2024–2028 годы"
(Зарегистрирован 20.12.2023 № 2239)
"Об установлении тарифов на тепловую энергию, поставляемую акционерным обществом "Кучуксульфат" потребителям Благовещенского района Алтайского края, на 2024–2028 годы"
(Зарегистрирован 20.12.2023 № 2239)
Номер опубликования: 2201202312210032
Дата опубликования:
21.12.2023
