Решение Управления Алтайского края по государственному регулированию цен и тарифов от 19.12.2023 № 498
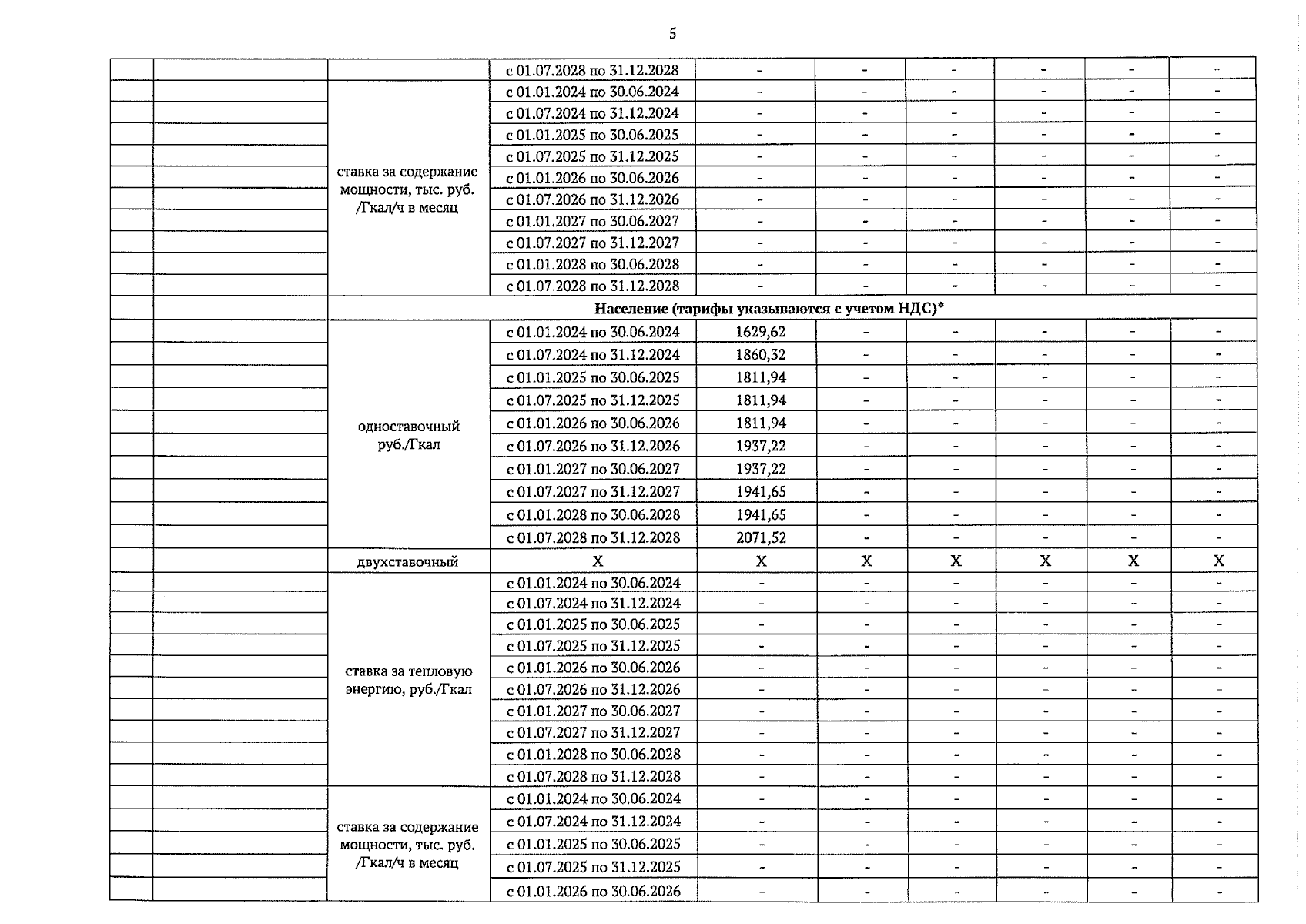
"Об установлении тарифов на тепловую энергию, поставляемую обществом с ограниченной ответственностью "Содружество" потребителям Павловского района Алтайского края, на 2024–2028 годы"
(Зарегистрирован 20.12.2023 № 2270)
"Об установлении тарифов на тепловую энергию, поставляемую обществом с ограниченной ответственностью "Содружество" потребителям Павловского района Алтайского края, на 2024–2028 годы"
(Зарегистрирован 20.12.2023 № 2270)
Номер опубликования: 2201202312210021
Дата опубликования:
21.12.2023
