Решение Управления Алтайского края по государственному регулированию цен и тарифов от 18.12.2023 № 466
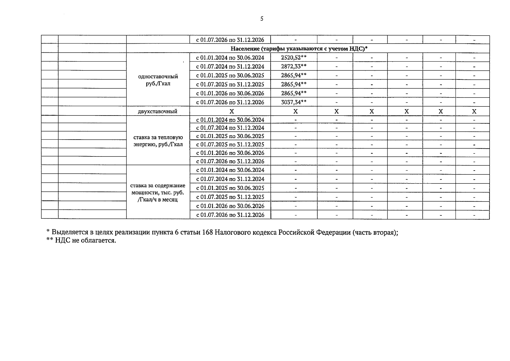
"Об установлении тарифов на тепловую энергию, поставляемую Муниципальным унитарным предприятием "Новозоринские коммунальные сети" потребителям Павловского района Алтайского края, на 2024–2026 годы"
(Зарегистрирован 19.12.2023 № 2231)
"Об установлении тарифов на тепловую энергию, поставляемую Муниципальным унитарным предприятием "Новозоринские коммунальные сети" потребителям Павловского района Алтайского края, на 2024–2026 годы"
(Зарегистрирован 19.12.2023 № 2231)
Номер опубликования: 2201202312200012
Дата опубликования:
20.12.2023
