Официальное опубликование правовых актов
ОФИЦИАЛЬНОЕ ОПУБЛИКОВАНИЕ
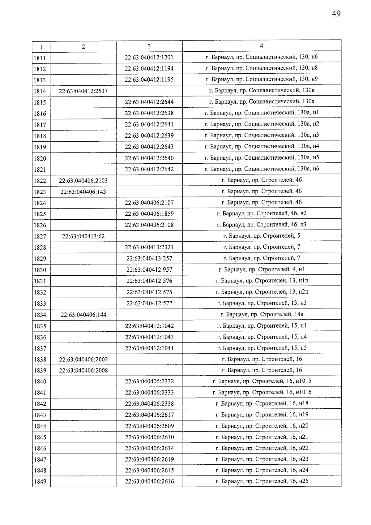
Приказ управления Алтайского края по развитию предпринимательства и рыночной инфраструктуры от 22.11.2023 № 43/Пр/122
"Об утверждении перечня объектов недвижимого имущества, указанных в подпунктах 1 и 2 пункта 1 статьи 378.2 Налогового кодекса Российской Федерации, в отношении которых на налоговый период 2024 года налоговая база определяется как кадастровая стоимость"
(Зарегистрирован 22.11.2023 № 1687)
Номер опубликования: 2201202311230001
Дата опубликования: 23.11.2023
Страница №49 из 231:
Увеличить