Официальное опубликование правовых актов
ОФИЦИАЛЬНОЕ ОПУБЛИКОВАНИЕ
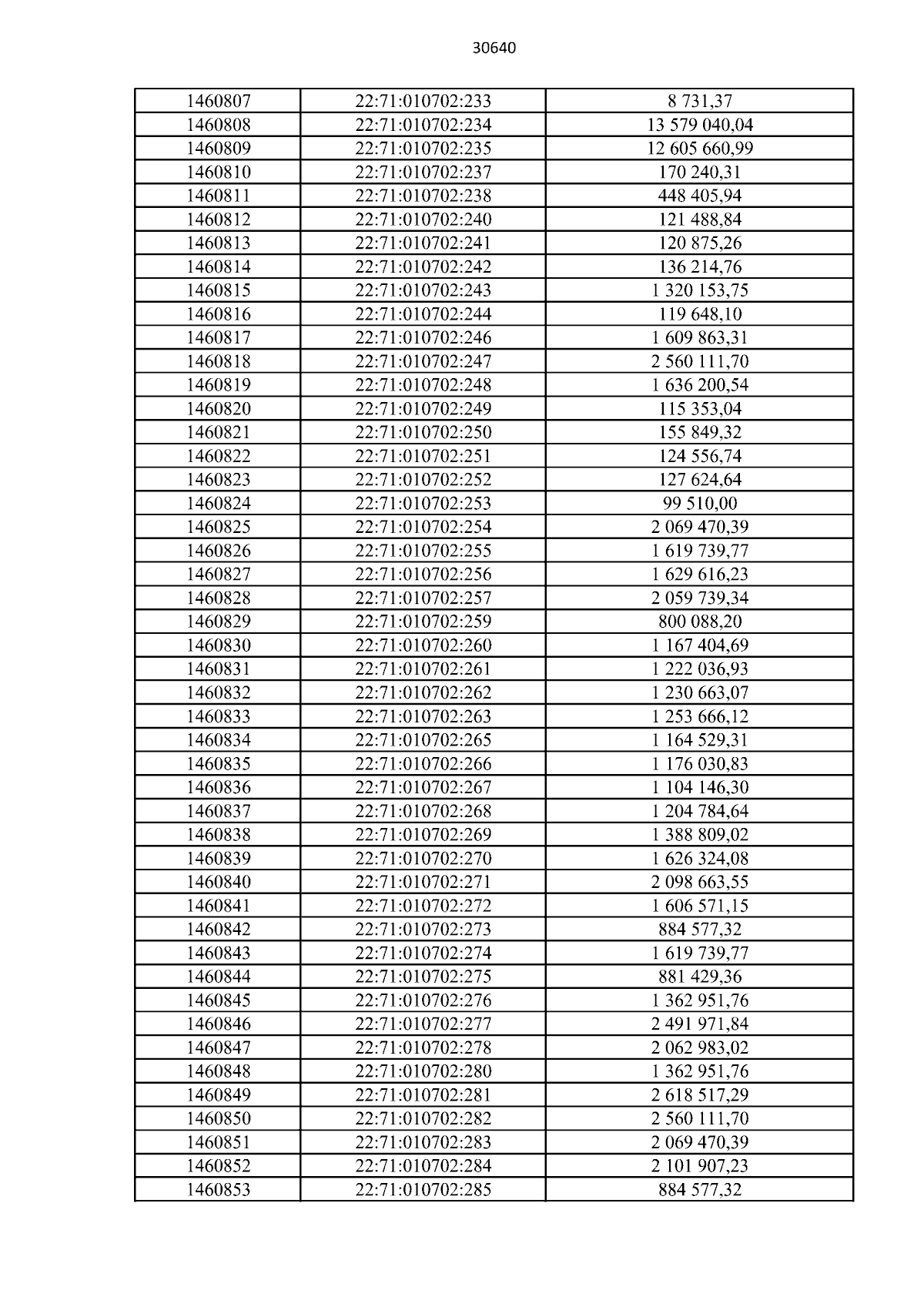
Приказ Управления имущественных отношений Алтайского края от 09.11.2023 № 181
"Об утверждении результатов определения кадастровой стоимости зданий, помещений, сооружений, объектов незавершенного строительства, машино-мест, учтенных в Едином государственном реестре недвижимости на территории Алтайского края"
(Зарегистрирован 09.11.2023 № 1474)
Номер опубликования: 2201202311100019
Дата опубликования: 10.11.2023
Страница №30640 из 31155:
Увеличить