Официальное опубликование правовых актов
ОФИЦИАЛЬНОЕ ОПУБЛИКОВАНИЕ
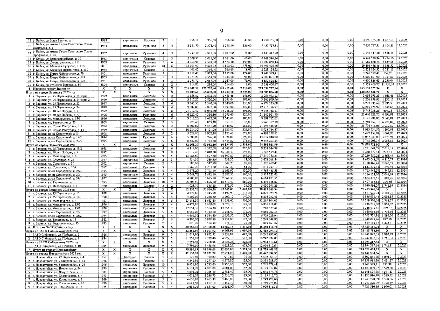
Приказ Министерства строительства и жилищно-коммунального хозяйства Алтайского края от 28.08.2023 № 572
"О внесении изменений в приказ Министерства строительства и жилищно-коммунального хозяйства Алтайского края от 23.08.2022 № 621"
(Зарегистрирован 29.08.2023 № 1032)
Номер опубликования: 2201202308290001
Дата опубликования: 29.08.2023
Страница №9 из 41:
Увеличить