Официальное опубликование правовых актов
ОФИЦИАЛЬНОЕ ОПУБЛИКОВАНИЕ
Приказ Министерства природных ресурсов и экологии Алтайского края от 03.08.2023 № 960
"Об установлении зон санитарной охраны подземного источника питьевого и хозяйственно-бытового водоснабжения спорткомплекса "Скиф арена" (поселок Новые Зори, Павловский район, Алтайский край)"
(Зарегистрирован 03.08.2023 № 961)
Номер опубликования: 2201202308030009
Дата опубликования: 03.08.2023
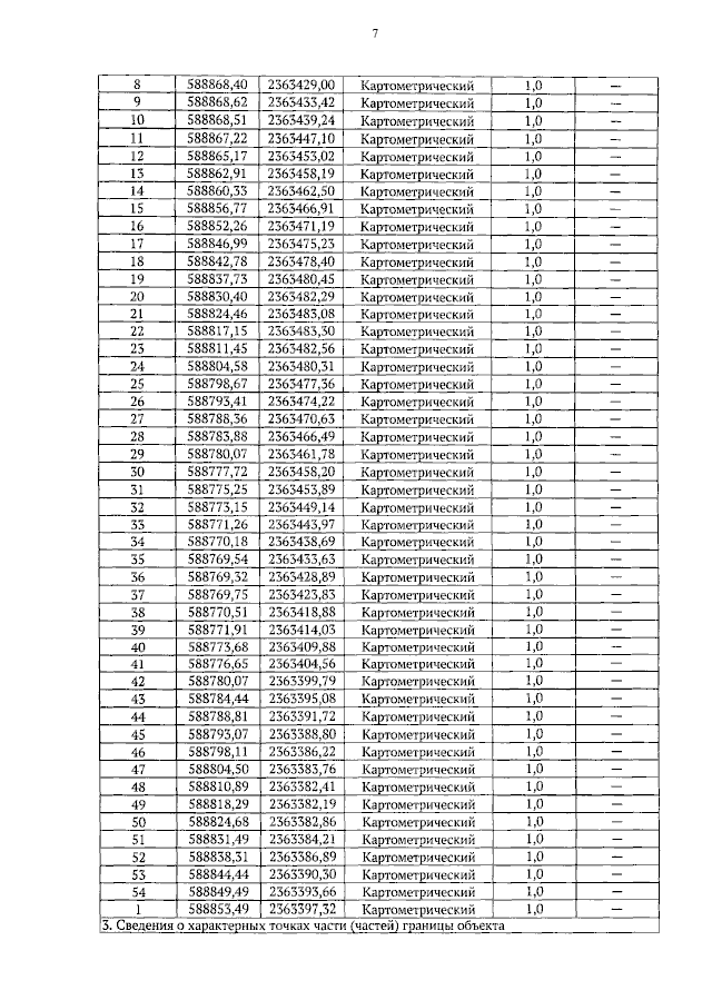
Страница №7 из 13:
Увеличить