Официальное опубликование правовых актов
ОФИЦИАЛЬНОЕ ОПУБЛИКОВАНИЕ
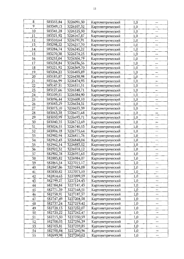
Приказ Министерства природных ресурсов и экологии Алтайского края от 23.05.2023 № 637
"Об установлении зон санитарной охраны подземного источника питьевого и хозяйственно-бытового водоснабжения базы учебных практик "Озеро Красилово" ФГБОУ ВО "Алтайский государственный университет" (село Озеро-Красилово, Косихинский район, Алтайский край)"
(Зарегистрирован 24.05.2023 № 639)
Номер опубликования: 2201202305240006
Дата опубликования: 24.05.2023
Страница №11 из 14:
Увеличить