Официальное опубликование правовых актов
ОФИЦИАЛЬНОЕ ОПУБЛИКОВАНИЕ
Приказ Министерства природных ресурсов и экологии Алтайского края от 23.05.2023 № 635
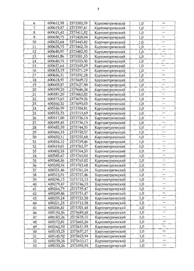
"Об установлении зон санитарной охраны подземных источников питьевого и хозяйственно-бытового водоснабжения ООО Тепличный комбинат "Толмачевский" (город Барнаул, Алтайский край)"
(Зарегистрирован 24.05.2023 № 637)
Номер опубликования: 2201202305240004
Дата опубликования: 24.05.2023
Страница №8 из 40:
Увеличить