Официальное опубликование правовых актов
ОФИЦИАЛЬНОЕ ОПУБЛИКОВАНИЕ
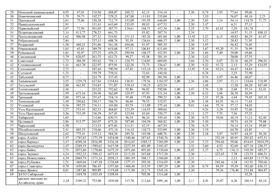
Приказ Управления имущественных отношений Алтайского края от 27.12.2022 № 219
"Об утверждении среднего уровня кадастровой стоимости земель по муниципальным районам (городским, муниципальным округам) Алтайского края"
Номер опубликования: 2201202212270004
Дата опубликования: 27.12.2022
Страница №3 из 340:
Увеличить