Официальное опубликование правовых актов
ОФИЦИАЛЬНОЕ ОПУБЛИКОВАНИЕ
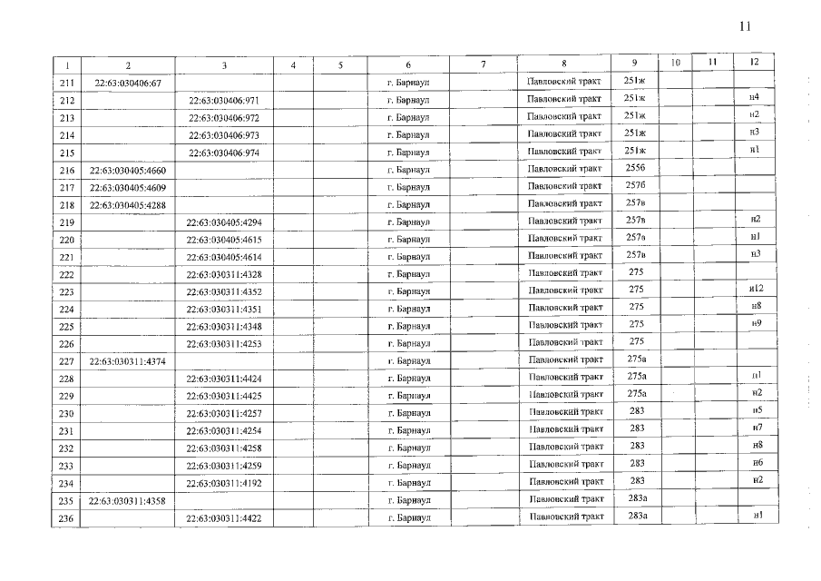
Приказ управления Алтайского края по развитию предпринимательства и рыночной инфраструктуры от 21.11.2019 № 43/Пр/110
"Об утверждении перечня объектов недвижимого имущества, в отношении которых налоговая база определяется как кадастровая стоимость, на 2020 год"
Номер опубликования: 2201201911220003
Дата опубликования: 22.11.2019
Страница №11 из 201:
Увеличить