Официальное опубликование правовых актов
ОФИЦИАЛЬНОЕ ОПУБЛИКОВАНИЕ
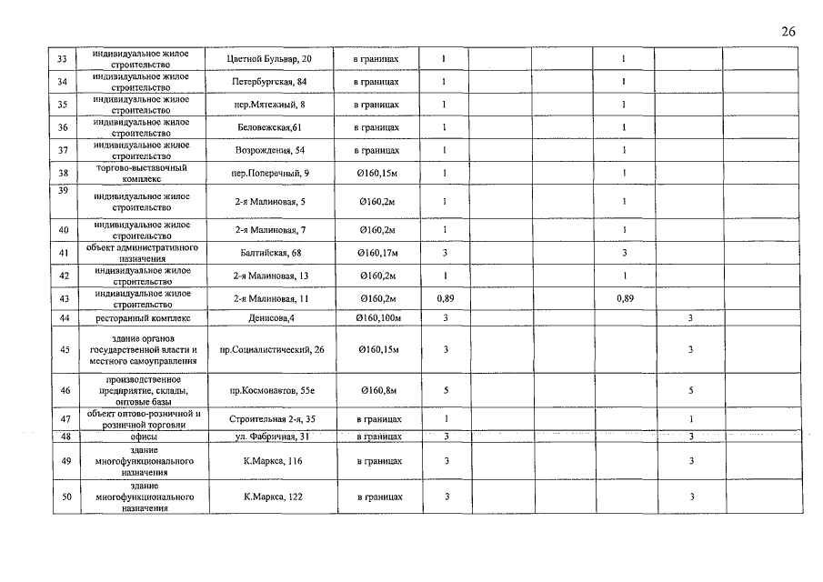
Приказ Министерства строительства и жилищно-коммунального хозяйства Алтайского края от 26.12.2018 № 4
"О внесении изменений в приказ Главного управления строительства, транспорта, жилищно-коммунального и дорожного хозяйства Алтайского края от 27.11.2015 № 1197"
Номер опубликования: 2201201812290004
Дата опубликования: 29.12.2018
Страница №26 из 35:
Увеличить