Решение Управления Алтайского края по государственному регулированию цен и тарифов от 18.12.2018 № 578
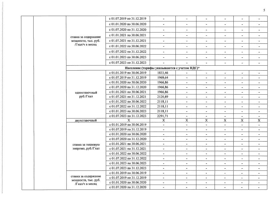
"Об установлении тарифов на тепловую энергию, поставляемую закрытым акционерным обществом "Колыванское" потребителям Павловского района Алтайского края, на 2019-2023 годы"
"Об установлении тарифов на тепловую энергию, поставляемую закрытым акционерным обществом "Колыванское" потребителям Павловского района Алтайского края, на 2019-2023 годы"
Номер опубликования: 2201201812210044
Дата опубликования:
21.12.2018
