Официальное опубликование правовых актов
ОФИЦИАЛЬНОЕ ОПУБЛИКОВАНИЕ
Решение Управления Алтайского края по государственному регулированию цен и тарифов от 18.12.2018 № 573
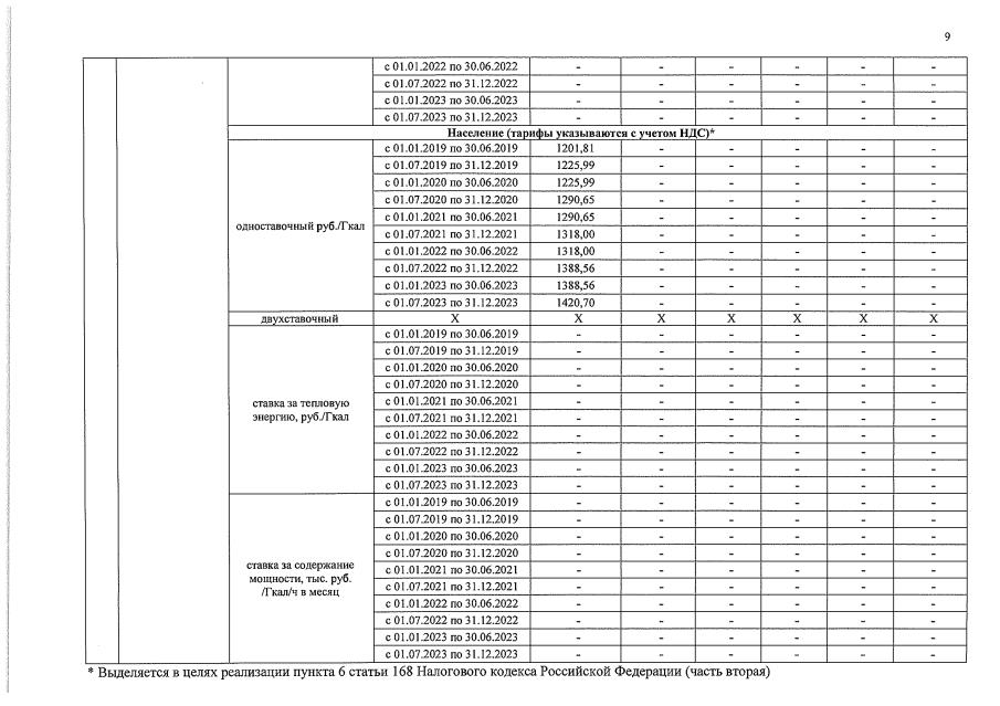
"Об установлении тарифов на тепловую энергию, поставляемую государственным унитарным предприятием дорожного хозяйства Алтайского края "Южное дорожно-строительное управление" потребителям муниципальных образований город Алейск, Шипуновский район Алтайского края, на 2019–2023 годы"
Номер опубликования: 2201201812210042
Дата опубликования: 21.12.2018
Страница №9 из 9:
Увеличить