Официальное опубликование правовых актов
ОФИЦИАЛЬНОЕ ОПУБЛИКОВАНИЕ
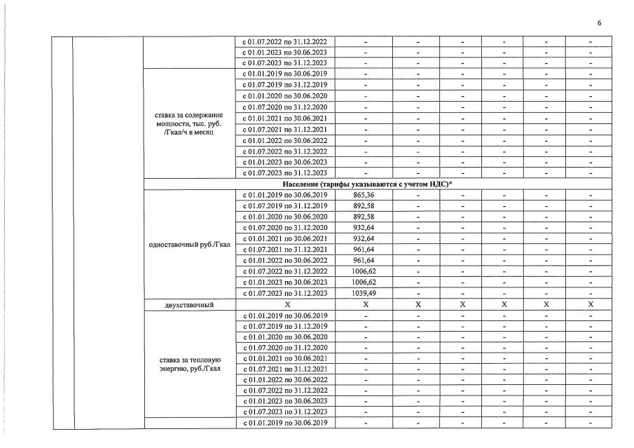
Решение Управления Алтайского края по государственному регулированию цен и тарифов от 18.12.2018 № 572
"Об установлении тарифов на тепловую энергию, поставляемую государственным унитарным предприятием дорожного хозяйства Алтайского края "Центральное дорожно-строительное управление" потребителям муниципальных образований город Барнаул, город Камень-на-Оби Каменского района Алтайского края, на 2019–2023 годы"
Номер опубликования: 2201201812210040
Дата опубликования: 21.12.2018
Страница №6 из 9:
Увеличить