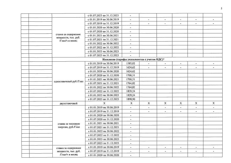
Решение Управления Алтайского края по государственному регулированию цен и тарифов от 18.12.2018 № 574
"Об установлении тарифов на тепловую энергию, поставляемую открытым акционерным обществом "Издательско-полиграфическое предприятие "Алтай" потребителям муниципального образования город Барнаул Алтайского края, на 2019–2023 годы"
"Об установлении тарифов на тепловую энергию, поставляемую открытым акционерным обществом "Издательско-полиграфическое предприятие "Алтай" потребителям муниципального образования город Барнаул Алтайского края, на 2019–2023 годы"
Номер опубликования: 2201201812210035
Дата опубликования:
21.12.2018
