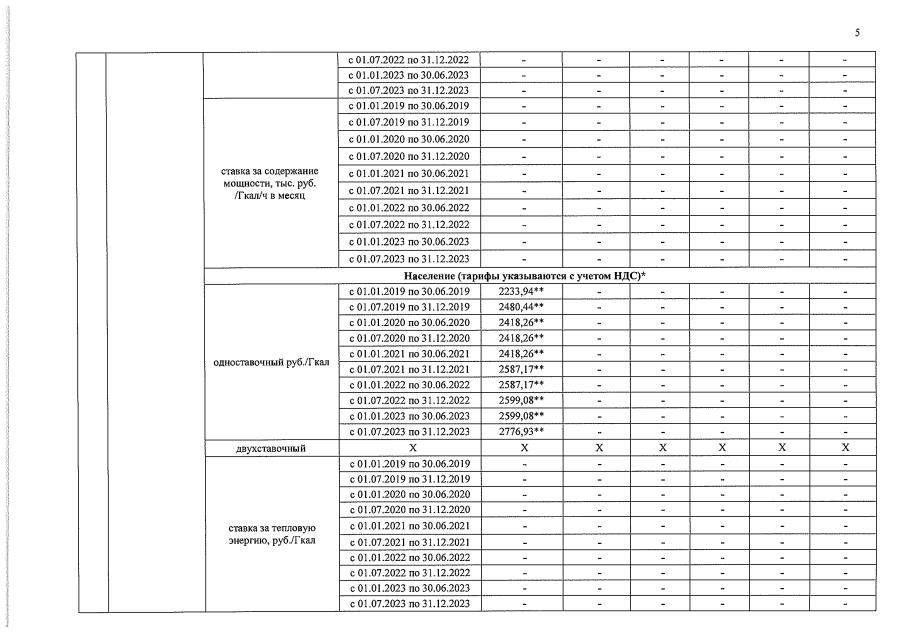
Решение Управления Алтайского края по государственному регулированию цен и тарифов от 18.12.2018 № 571
"Об установлении тарифов на тепловую энергию, поставляемую муниципальным унитарным предприятием "Бурлинские тепловые сети" потребителям Бурлинского района Алтайского края, на 2019–2023 годы"
"Об установлении тарифов на тепловую энергию, поставляемую муниципальным унитарным предприятием "Бурлинские тепловые сети" потребителям Бурлинского района Алтайского края, на 2019–2023 годы"
Номер опубликования: 2201201812210022
Дата опубликования:
21.12.2018
