Официальное опубликование правовых актов
ОФИЦИАЛЬНОЕ ОПУБЛИКОВАНИЕ
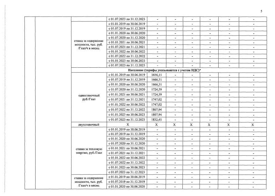
Решение Управления Алтайского края по государственному регулированию цен и тарифов от 13.12.2018 № 508
"Об установлении тарифов на тепловую энергию, поставляемую обществом с ограниченной ответственностью "Вострово Лес" потребителям Волчихинского района Алтайского края, на 2019–2023 годы"
Номер опубликования: 2201201812170028
Дата опубликования: 17.12.2018
Страница №5 из 6:
Увеличить