Официальное опубликование правовых актов
ОФИЦИАЛЬНОЕ ОПУБЛИКОВАНИЕ
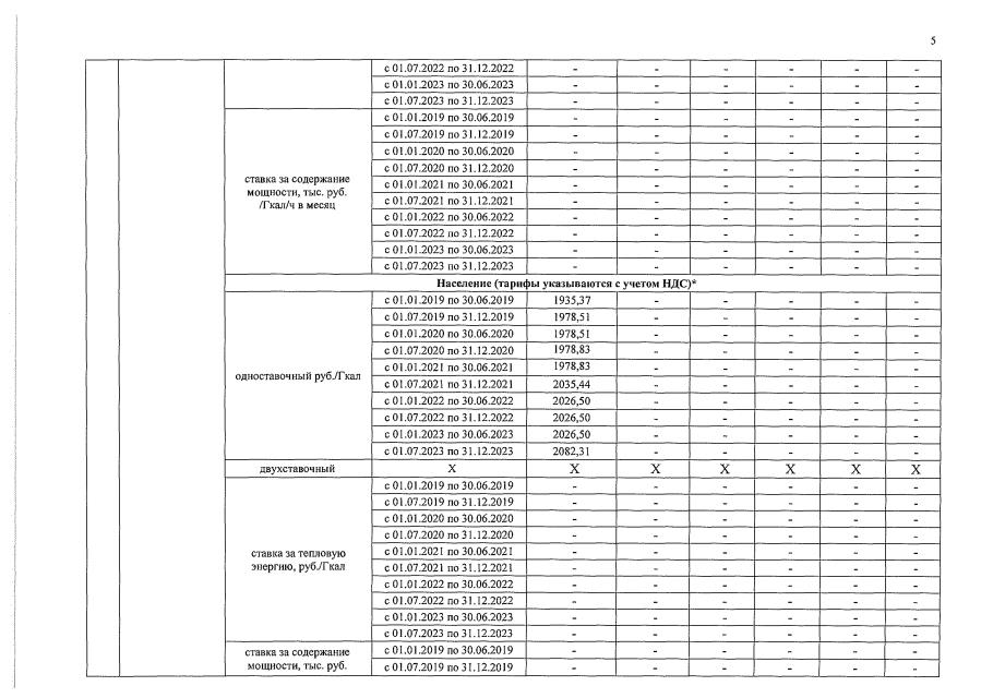
Решение Управления Алтайского края по государственному регулированию цен и тарифов от 11.12.2018 № 464
"Об установлении тарифов на тепловую энергию, поставляемую муниципальным унитарным многоотраслевым коммунальным предприятием потребителям закрытого административно-территориального образования Сибирский Алтайского края, на 2019–2023 годы"
Номер опубликования: 2201201812130012
Дата опубликования: 13.12.2018
Страница №5 из 6:
Увеличить