Решение Управления Алтайского края по государственному регулированию цен и тарифов от 11.12.2018 № 462
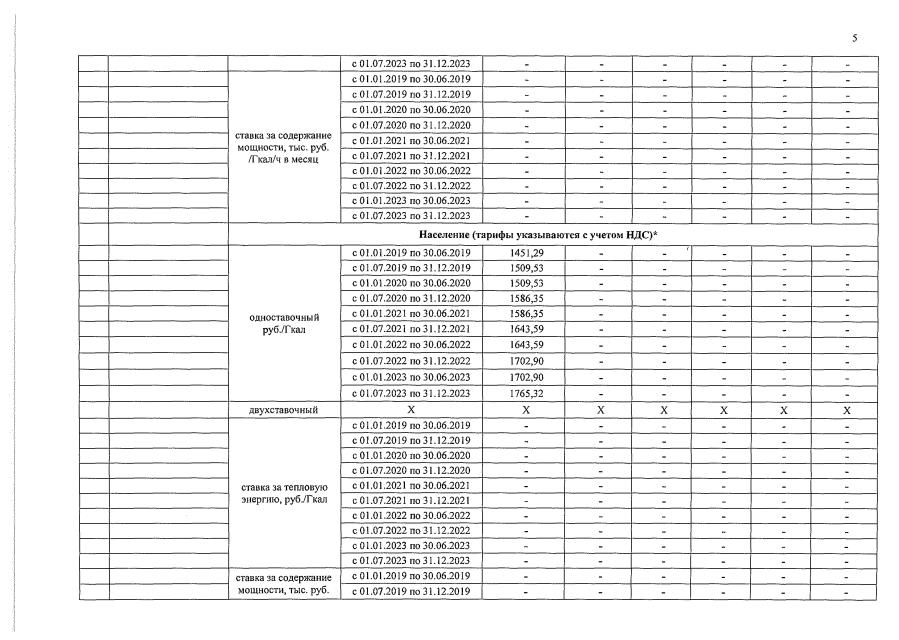
"Об установлении тарифов на тепловую энергию, поставляемую обществом с ограниченной ответственностью "Горем–3" потребителям муниципального образования город Новоалтайск Алтайского края, на 2019 – 2023 годы"
"Об установлении тарифов на тепловую энергию, поставляемую обществом с ограниченной ответственностью "Горем–3" потребителям муниципального образования город Новоалтайск Алтайского края, на 2019 – 2023 годы"
Номер опубликования: 2201201812120005
Дата опубликования:
12.12.2018
