Официальное опубликование правовых актов
ОФИЦИАЛЬНОЕ ОПУБЛИКОВАНИЕ
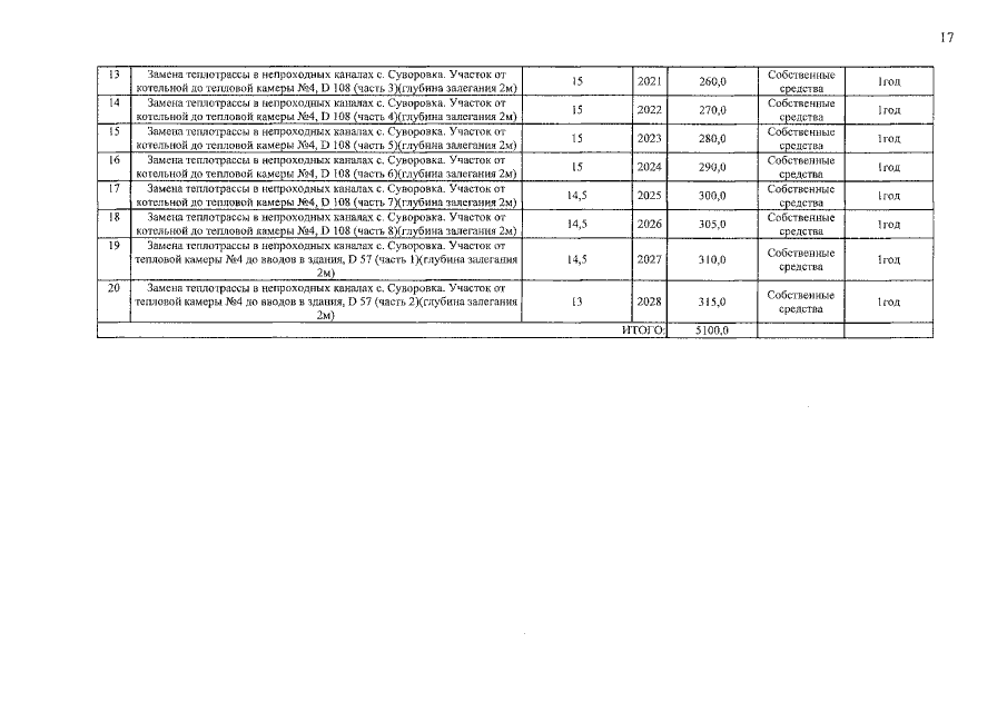
Приказ Министерства строительства, транспорта, жилищно-коммунального хозяйства Алтайского края от 07.12.2018 № 927
"Об утверждении инвестиционной программы ООО "Вода" Благовещенского района по реконструкции (модернизации) объектов теплоснабжения в с. Леньки, с. Суворовка на 2019 – 2028 годы"
Номер опубликования: 2201201812100040
Дата опубликования: 10.12.2018
Страница №17 из 19:
Увеличить