Решение Управления Алтайского края по государственному регулированию цен и тарифов от 06.12.2018 № 453
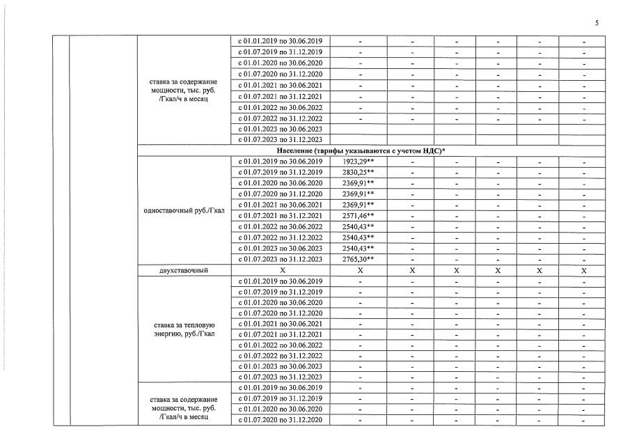
"Об установлении тарифов на тепловую энергию, поставляемую муниципальным унитарным предприятием "Тепловик" муниципального образования Баевский район Алтайского края потребителям Баевского района Алтайского края, на 2019−2023 годы"
"Об установлении тарифов на тепловую энергию, поставляемую муниципальным унитарным предприятием "Тепловик" муниципального образования Баевский район Алтайского края потребителям Баевского района Алтайского края, на 2019−2023 годы"
Номер опубликования: 2201201812100009
Дата опубликования:
10.12.2018
