Официальное опубликование правовых актов
ОФИЦИАЛЬНОЕ ОПУБЛИКОВАНИЕ
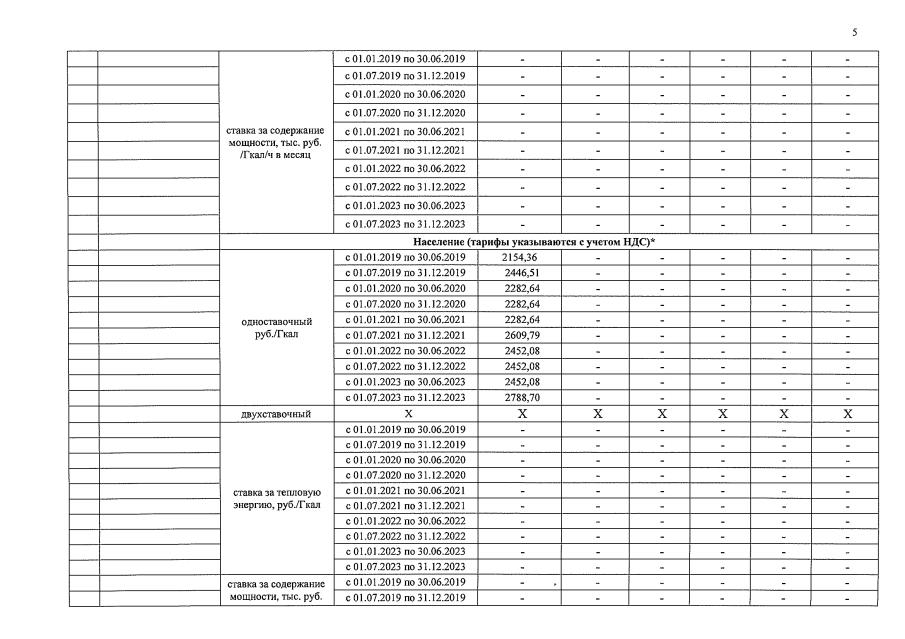
Решение Управления Алтайского края по государственному регулированию цен и тарифов от 06.12.2018 № 457
"Об установлении тарифов на тепловую энергию, поставляемую Муниципальным унитарным предприятием "Зональное многоотраслевое коммунальное хозяйство" потребителям Зонального района Алтайского края, на 2019−2023 годы"
Номер опубликования: 2201201812100007
Дата опубликования: 10.12.2018
Страница №5 из 6:
Увеличить