Официальное опубликование правовых актов
ОФИЦИАЛЬНОЕ ОПУБЛИКОВАНИЕ
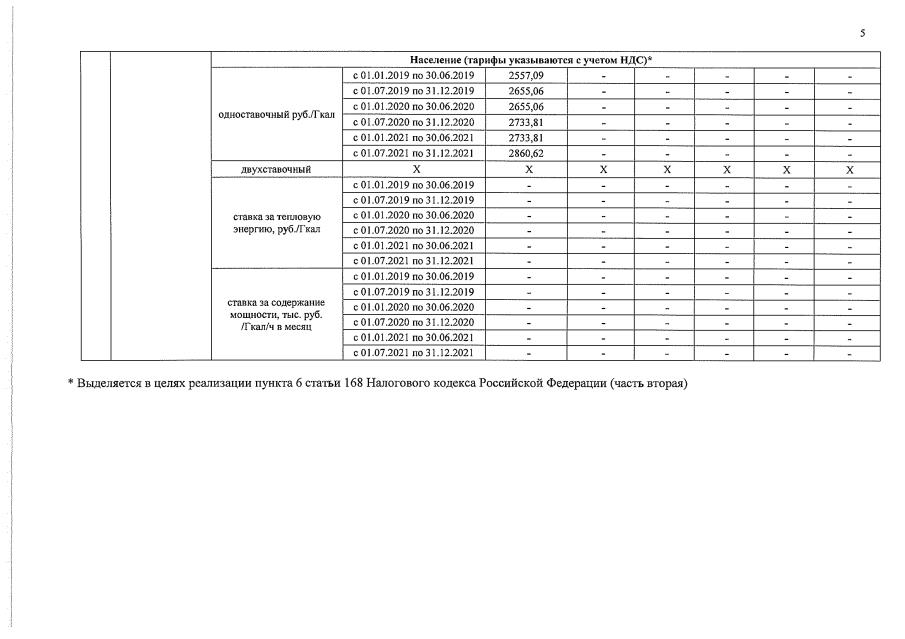
Решение Управления Алтайского края по государственному регулированию цен и тарифов от 04.12.2018 № 393
"Об установлении тарифов на тепловую энергию, поставляемую муниципальным унитарным предприятием "Каменские теплосети" муниципального образования город Камень-на-Оби Каменского района Алтайского края потребителям Каменского района Алтайского края, на 2019–2021 годы"
Номер опубликования: 2201201812050026
Дата опубликования: 05.12.2018
Страница №5 из 5:
Увеличить