Официальное опубликование правовых актов
ОФИЦИАЛЬНОЕ ОПУБЛИКОВАНИЕ
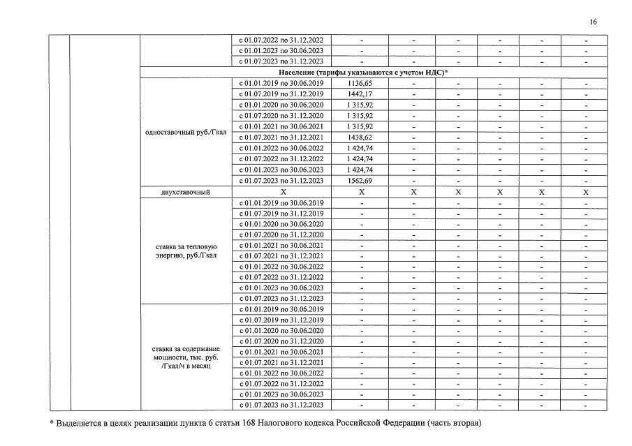
Решение Управления Алтайского края по государственному регулированию цен и тарифов от 04.12.2018 № 392
"Об установлении тарифов на тепловую энергию, поставляемую открытым акционерным обществом "Российские железные дороги" потребителям Алтайского края, на 2019–2023 годы"
Номер опубликования: 2201201812050025
Дата опубликования: 05.12.2018
Страница №16 из 31:
Увеличить