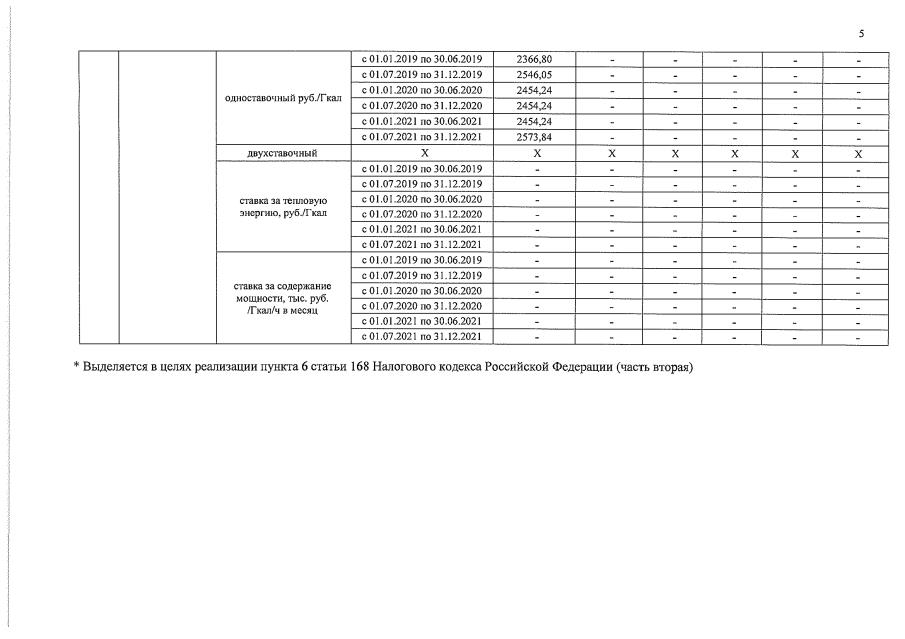
Решение Управления Алтайского края по государственному регулированию цен и тарифов от 04.12.2018 № 378
"Об установлении тарифов на тепловую энергию, поставляемую обществом с ограниченной ответственностью "ГазТеплоСнаб" потребителям муниципального образования город Барнаул Алтайского края, на 2019−2021 годы"
"Об установлении тарифов на тепловую энергию, поставляемую обществом с ограниченной ответственностью "ГазТеплоСнаб" потребителям муниципального образования город Барнаул Алтайского края, на 2019−2021 годы"
Номер опубликования: 2201201812050014
Дата опубликования:
05.12.2018
