Официальное опубликование правовых актов
ОФИЦИАЛЬНОЕ ОПУБЛИКОВАНИЕ
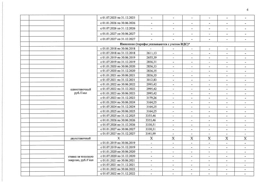
Решение Управления Алтайского края по государственному регулированию цен и тарифов от 04.12.2018 № 367
"Об установлении тарифов на тепловую энергию, поставляемую обществом с ограниченной ответственностью "Хабарское многоотраслевое коммунальное хозяйство" потребителям Хабарского района Алтайского края, на 2018−2027 годы"
Номер опубликования: 2201201812050007
Дата опубликования: 05.12.2018
Страница №6 из 7:
Увеличить