Официальное опубликование правовых актов
ОФИЦИАЛЬНОЕ ОПУБЛИКОВАНИЕ
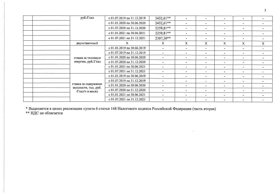
Решение Управления Алтайского края по государственному регулированию цен и тарифов от 04.12.2018 № 379
"Об установлении тарифов на тепловую энергию, поставляемую муниципальным унитарным предприятием "Коммунальщик" Быстроистокского района Алтайского края потребителям Быстроистокского района Алтайского края, на 2019–2021 годы"
Номер опубликования: 2201201812050004
Дата опубликования: 05.12.2018
Страница №5 из 5:
Увеличить