Официальное опубликование правовых актов
ОФИЦИАЛЬНОЕ ОПУБЛИКОВАНИЕ
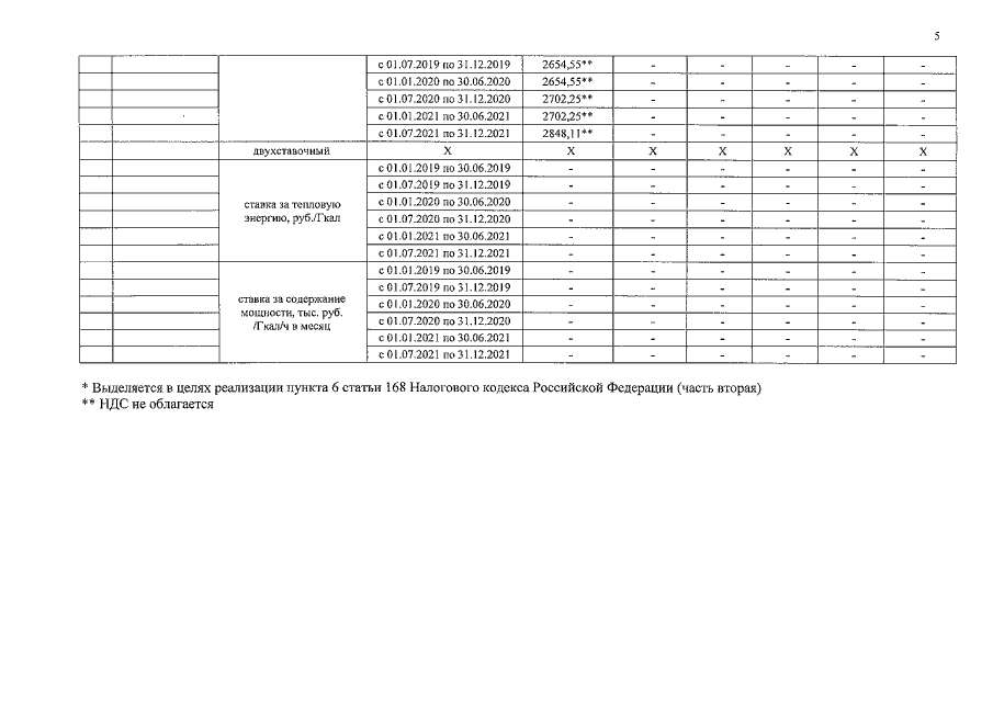
Решение Управления Алтайского края по государственному регулированию цен и тарифов от 29.11.2018 № 363
"Об установлении тарифов на тепловую энергию, поставляемую Муниципальным унитарным предприятием теплоснабжения "Ремовский" потребителям Локтевского района Алтайского края, на 2019–2021 годы"
Номер опубликования: 2201201811300001
Дата опубликования: 30.11.2018
Страница №5 из 5:
Увеличить